RailTravels

Indian Railway Train Info

Special train between Chennai Egmore-Kollam (Train No 06723/ 06724) time table, route, frequency and fare

Special train between Chennai Egmore-Kollam (Train No 06723/ 06724) time table, route, frequency and fare

Southern Railway to Ananthapuri COVID-19 Special train between Chennai Egmore-Kollam

For the convenience of passengers, SR has decided to run special train between Chennai Egmore-Kollam

Train No. 06723 Chennai Egmore-Kollam Ananthapuri COVID-19 Special train

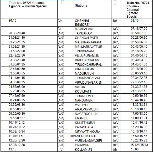
Train No. 06723 Chennai Egmore-Kollam Special train will leave from (Daily) Chennai Egmore at 20.10 hrs & will reach Kollam at 13.15 hrs and train running time between the station 17h and 5 minutes.

Train No. 06724 Kollam-Chennai Egmore Ananthapuri COVID-19 Special train

Similarly, Train No. 06724 Kollam-Chennai Egmore Special train will leave from (Daily) Kollam at 15.00 hrs & will reach Chennai Egmore at 08.10 hrs and train running time between the station 17h and 10 minutes.

Chennai Egmore-Kollam Distance between the station is 860 Kilometer

The detailed Timings of Train No. 06723 / 06723

Date of Commencement of Service:

T. No. 06723 from Chennai Egmore-Kollam Covid-19 Special train-on and from 03-10-2025

T. No: 06724 from Kollam-Chennai Egmore Covid-19 Special train-on and from 04-10-2025

Enroute this train will halt at Chennai Egmore, Tambaram, Chengalpattu Jn, Madurantakam, Melmaruvathur, Tindivanam, Villupuram Jn, Vriddhachalam Jn, Tiruchchirappalli Jn, Dindigul Jn, Kodaikanal Road, Madurai Jn, Tirumangalam, Virudunagar Jn, Satur, Kovilpatti, Kadambur, Vanchi Maniyachchi Jn, Tirunelveli Jn, Nanguneri, Valliyur, North Panakudi, Aralvaymozhi, Nagercoil Jn, Eraniel, Kulitturai, Parassala, Neyyattinkara, Thiruvananthapuram Ctrl, Varkala Sivagiri, Paravur, Kollam stations in both directions.

Tamil Nadu Special Train Full List

  1. Special train between Tejas Express Chennai Egmore-Madurai (Train No 02613/ 02614)
  2. Special train between Pothigai Express Chennai Egmore-Sengottai (Train No 02661/ 02662)
  3. Special train between Nellai Express Chennai Egmore-Tirunelveli (Train No 02631/ 02632)
  4. Special train between Sethu Express Chennai Egmore-Rameswaram (Train No 02205/ 02206)
  5. Special train between Ananthapuri Express Chennai Egmore-Kollam (Train No 06723/ 06724)
  6. Special train between Ernakulam-Karaikal ( Tea Garden ) (Train No. 06187 / 06188)
  7. Special train between Dr. MGR Chennai Central-Alappuzha (Train No. 02639 / 02640)
  8. Special train between Thiruvananthapuram-New Delhi (Train No 02625/ 02626)
  9. Train No. 02605/02606 Chennai Egmore – Karaikkudi – Chennai Egmore Superfast Special (Daily)
  10. Train No. 02635/02636 Chennai Egmore – Madurai – Chennai Egmore Superfast Special (Daily)
  11. Train. No. 02637/02638 Chennai Egmore – Madurai Chennai Egmore Superfast Special (Daily)
  12. Train No. 02693/02694 Chennai Egmore – Tuticorin – Chennai Egmore Superfast Special (Daily)
  13. Train No.06795/06796 Chennai Egmore – Tiruchchirapali Special train (Daily)
  14. Train No. 02673/02674 Chennai Central – Coimbatore Special train (Daily)
  15. Train No. 02679/02680 Dr MGR Chennai Central – Coimbatore Special train (Daily)
  16. Train No. 02084/02083 Coimbatore-Mayiladuthurai Janshatabdi Special train
  17. Train No. 02675/02676 Chennai Central-Coimbatore Super fast Intercity Special (Daily)
  18. Train No.02627/02628 Tiruchchirappalli – Nagercoil Super Fast Special Train (Daily)
  19. Train No.02671/02672 Dr MGR Chennai Central – Mettupalayam Super Fast Special Train (Daily)
  20. Train No.02633/02634 Chennai Egmore – Kanniyakumari Special Train (Daily)
  21. Train No.06181/06182 Chennai Egmore – Sengottai Special Train (Tri-Weekly)
  22. Train No. 02615/Train No. 02616 MGR Chennai Central-New Delhi Super Fast Special Train (Daily)
  23. Train No. 02669/02670 MGR Chennai Central-Chhapra Super Fast Special Train (Bi-Weekly)
  24. Train No. 02664/02663 Tiruchchirappalli – Howrah Super Fast Special Train (Bi-Weekly)
  25. Thiruvananthapuram-MGR Chennai Central-Thiruvananthapuram (Train No 02623/ 02624) Daily Special train
  26. Mangaluru Central-MGR Chennai Central-Mangaluru Central (Train No 02601/ 02602) Daily Special train

All Safety Protocols as prescribed by MHA Guidelines shall be followed.

All passengers shall be compulsorily screened and only asymptomatic passengers will be allowed to enter /board the train.

Passengers travelling by these special services will observe the following precautions :

(a) Only passengers with Confirmed tickets shall be allowed to enter the Railway station.

(b) All passengers shall be wearing face covers/masks at the entry and during travel.

(c) The passengers shall reach the station at-least 90 minutes in advance to facilitate thermal screening at the station. only passengers who are found asymptomatic will be permitted to travel.

All passengers are advised to download and use the Aarogya Setu application.

No Linen, blankets and curtains shall be provided inside the train. Passengers are advised to carry their own linen for the travel. The temperature inside AC coaches shall be suitably regulated for this purpose.

Here’s the most accurate information available for the Chennai Egmore ⇄ Kollam Junction Special (Train Nos. 06723 / 06724), also called the Ananthapuri Special. As these are COVID‑era special trains, always confirm closely before travel via IRCTC, NTES, or trusted railway platforms.


🚆 Train 06723 • Chennai Egmore (MS) → Kollam Junction (QLN)

  • Departure: 20:10 from Chennai Egmore on Day 1
  • Arrival: 13:05 at Kollam Junction on Day 2
  • Journey duration: ~16 h 55 m over ~858–862 km (~51‑52 km/h)
  • Route & Major Halts (28 total): Tambaram, Chengalpattu, Tindivanam, Villupuram, Vriddhachalam, Trichy, Dindigul, Madurai, Tirunelveli, Nagercoil, Thiruvananthapuram Central, Varkala, Paravur, and others
  • Frequency: Runs daily in both directions

🚆 Train 06724 • Kollam Junction → Chennai Egmore

  • Departure: ~15:00 from Kollam (some sources list ~15:00)
  • Arrival: ~08:10 at Chennai Egmore on Day 2
  • Journey time: ~17 h 10 m

📋 Summary Table

Train No. Direction Departs Arrives Duration Frequency Distance (km)
06723 Chennai Egmore → Kollam 20:10 (Day 1) 13:05 (Day 2) ~16 h 55 m Daily ~858–862
06724 Kollam → Chennai Egmore ~15:00 (Day 1) ~08:10 (Day 2) ~17 h 10 m Daily ~858–862

🎫 Coach Composition, Catering & Fare

  • Class availability: Usually AC 2‑Tier (2A), AC 3‑Tier (3A), Sleeper (SL), Second Seating (2S), General (GN) — check IRCTC/rail info for exact class composition.
  • Catering: No pantry car available; e‑catering may be possible at major stops such as Madurai or Thiruvananthapuram.
  • Fare details: Since average speed is below 55 km/h, Superfast surcharge may not apply, making fares similar to non-superfast.
    Fare estimates (one-way from Chennai to Kollam):

    • 3A: ~₹1,500–1,800
    • Sleeper (SL): ~₹550–650
    • 2S: ₹300–400
      These are ballpark figures and subject to availability and dynamic pricing. Please confirm via IRCTC or trusted portals before booking.

⚠️ Important Notes

  • The train number 06723/06724 refers to a special service (Ananthapuri Special) that operated during the COVID period. As of mid‑2025, the service may have expired or resumed as a regular train, and its status could be uncertain. Recent platforms have marked it as expired
  • If returning information appears stale or outdated, you may find the regular Ananthapuri Express (22645/46) or Chennai–Kollam Express (16101/17506) running on similar routes.
  • Verify current train number and status on IRCTC, NTES, or official railway websites before booking.

✅ Need Help?

I can assist with:

  • Retrieving current train number if service has been reclassified
  • Checking PNR / live running status for a specific date
  • Finding fares for a chosen class and date

Just share your travel date or travel preference!

Special train between Chennai Egmore-Kollam (Train No 06723/ 06724) time table, route, frequency and fare
Scroll to top