Railway Concession Form For Physically Handicapped | Railway Concession Form For Physically Handicapped PDF Download
Railway Concession Form For Physically Handicapped 2025 pdf
Railway Concession Form PDF | Railway Concession Certificate For Deaf 2025
Railway Concession for Disabled Person
Orthopaedically Handicapped / Paraplegic persons who cannot travel without escort – for any purpose
- 75% in 2nd, SL, 1st Class, 3AC, AC chair Car
- 50% in 1AC and 2AC
- 25% in 3AC & AC Chair Car of Rajdhani / Shatabdi trains
Mentally retarded persons who cannot travel without escort – for any purpose
- 50% in MST & QST
Blind persons travelling alone or with an escort – for any purpose
- One escort is also eligible for same element of concession
Deaf & Dumb persons (both afflictions together in the same person) travelling alone or with an escort – for any purpose.
- 50% in 2nd, SL and 1st Class
- 50% in MST & QST
- One escort is also eligible for same element of concession
Railway Concession Form For Divyang 2025
Existing word: Blind
To be replaced by: Person with Visual Impairment with total absence of sight
Existing word: Deaf and Dumb
To be replaced by: Person with Hearing and Speech Impairment totally (Both afflictions together in the same person)
Existing word: Physically Challenged
To be replaced by: Persons with Disabilities (Divyangjan)
The revised proforma for the certificate is enclosed herewith. Click here the below link and download in Railway Concession Form For Physically Handicapped 2025 pdf in english and hindi version also
Railway Concession Certificate or Form for Handicapped Person, Paraplegic persons, Blind persons, Deaf & Dumb persons in PDF Download – Click Here
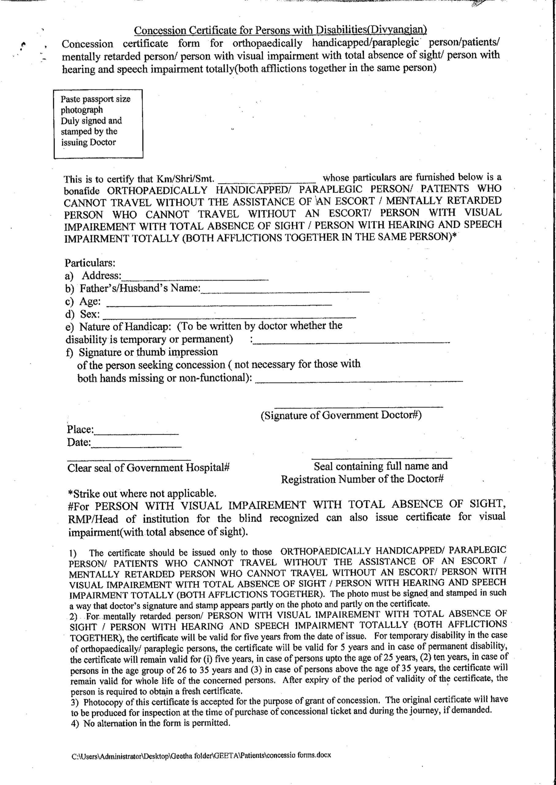
Here’s how to access and use the Railway Concession Certificate for Physically Handicapped (Orthopaedically Handicapped / Paraplegic persons):
1. Official Form—Appendix 1/36
The required form, named “Concession Certificate (Appendix 1/36)”, is issued by a government doctor and is available on Indian Railways’ official forms portal. It’s used to grant fare concessions to those who cannot travel without an escort.
Key Features of the Form:
- Clearly states that it’s for orthopaedically handicapped/paraplegic persons who cannot travel without assistance.
- Includes sections to fill in:
- Name, address, parent’s/spouse’s name, age, sex
- Nature and cause of handicap (temporary or permanent)
- Requires a passport-size photograph, signed and stamped by the issuing doctor, with the signature overlapping the photo itself.
- Validity depends on disability type and age:
- Temporary disabilities: valid for 5 years
- Permanent disabilities:
- Up to age 25: 5 years
- 26–35 years: 5 years
- Above 35 years: lifelong validity
This form is also available in Hindi.
2. Where to Download
You can download both English and Hindi versions directly from:
- Indian Railways’ India Customer Care forms page under the “Concession Forms for Disabled Persons” section.
- Third-party sites like Railway News Blog also list the forms with download links.
3. How to Get the Concession Applied
- Get the form filled and signed by a government doctor, ensuring the rules around photograph and attestation are followed.
- Submit it at the Divisional Railway Manager (DRM) Office along with other required documents such as:
- Identity proof
- Address proof
- Passport-sized photographs
The DRM office will issue a Divyangjan Photo Identity Card, allowing you to book concessional tickets online and at reservation counters.
Summary Table
| Step | Action |
|---|---|
| 1 | Download the Appendix 1/36 Concession Certificate (English or Hindi). |
| 2 | Get it completed and signed by a government doctor, with proper photo and stamp. |
| 3 | Submit it at the DRM office to obtain a Divyangjan Photo ID Card. |
| 4 | Use the card (ID number) to book concessional tickets online or present it at counters. |
Notes from Travelers
“Divyangjan concessions are available both online and offline… Concession rates apply only to the base fare. You can book online if you have the Railway-approved Divyangjan ID card.”
“UDID card isn’t accepted for railway purposes for some conditions… better to get a railway concession form from your hospital whenever you travel.”
Need help locating the exact download link or understanding where to visit for DRM submission? I’d be glad to guide you step by step!
