Railway Concession Form For Physically Handicapped 2025 pdf
Railway Concession Form For Divyang 2025
| Existing word | To be replaced by |
| Blind | Person with Visual Impairment with total absence of sight |
| Deaf and Dumb | Person with Hearing and Speech Impairment totally (Both afflictions together in the same person) |
| Physically Challenged | Persons with Disabilities (Divyangjan) |
The revised proforma for the certificate is enclosed herewith. Click here the below link and download in Railway Concession Form For Physically Handicapped 2025 pdf in english and hindi version also
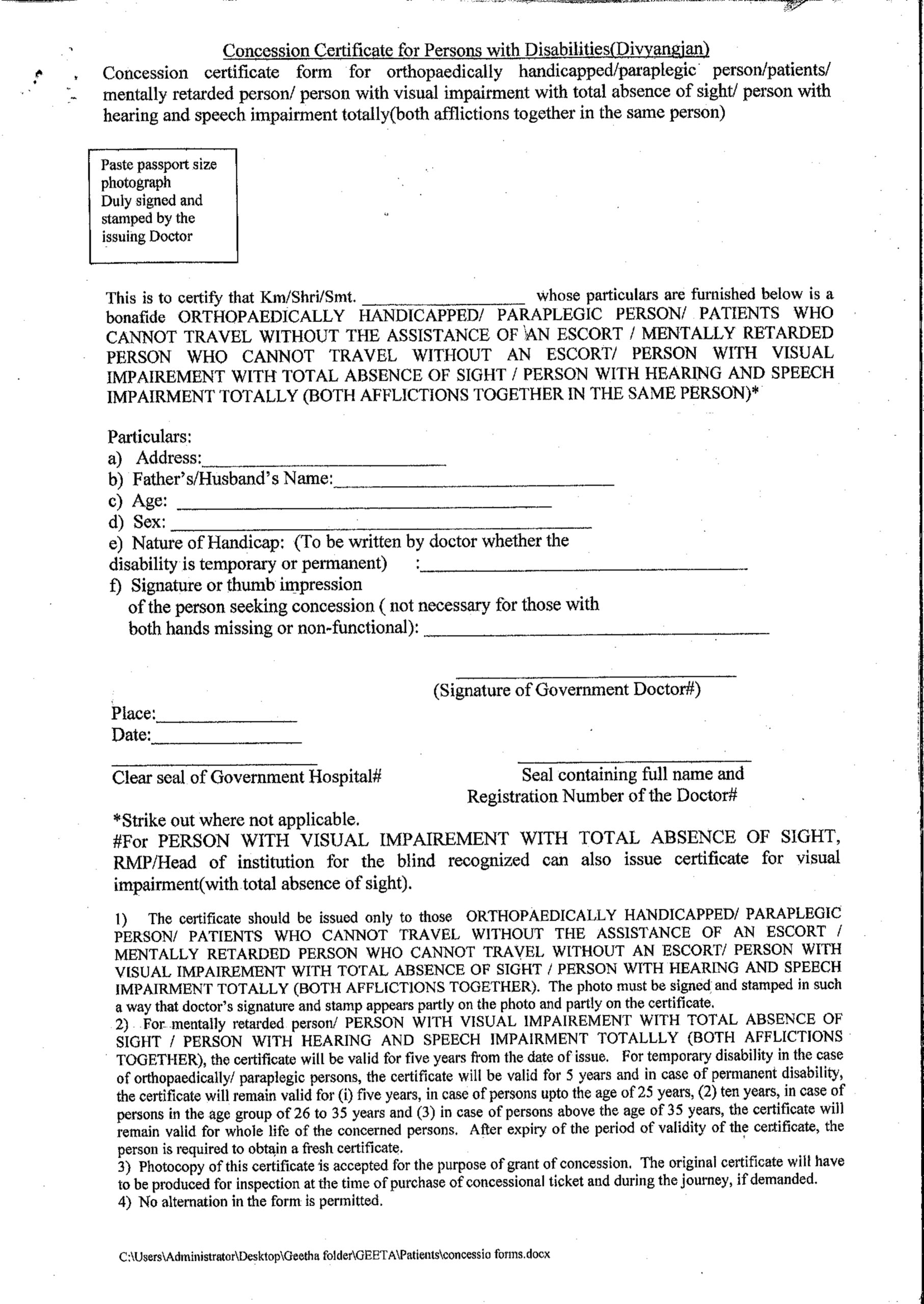
New Concession Certificate form for persons with Disabilities (Blind, Deaf and Dumb) (Divyangjan) English Version

New Concession Certificate form for persons with Disabilities (Blind, Deaf and Dumb) (Divyangjan) Hindi Version

| S. No |
CATEGORY OF PERSONS | PERCENTAGE OF CONCESSION* |
| I | Disabled Passengers | |
| 1 | Orthopaedically Handicapped / Paraplegic persons who cannot travel without escort – for any purpose |
|
| 2 | Mentally retarded persons who cannot travel without escort – for any purpose | |
| 3 | Blind persons travelling alone or with an escort – for any purpose | |
| 4 | Deaf & Dumb persons (both afflictions together in the same person) travelling alone or with an escort – for any purpose. |
|
If you’re seeking the 2025 revised Railway Concession Certificate for Physically Handicapped (Orthopaedically Handicapped or Paraplegic persons), here’s how to find and download the official PDF:
Official Form: Appendix 1/36 – Concession Certificate
This certificate is the official Railway form used for granting travel concessions to physically handicapped or paraplegic persons who cannot travel without assistance.
- You can download the exact Appendix 1/36 form (PDF) as published by an educational institution, replicating the official Railway version:
- The Railway Board’s Commercial Circular No. 01 of 2025 includes the revised proforma for this certificate, ensuring it’s the latest official format:
Sample Form Preview
Here’s how the form typically appears, based on available samples:
- Template fields include:
- Full name, address, parent/spouse name, age, sex
- Nature of disability (temporary or permanent)
- Cause of functional loss
- Photo affixed and signed partly by the issuing doctor
- Signature or thumb impression (unless hands are non-functional)
- Validity periods depend on age and disability type:
- Up to age 25 — 5 years
- Age 26–35 — 10 years
- Age above 35 — lifelong validity
Steps to Download and Use the Form
- Click the link to download the PDF from the IITG-hosted page (Appendix 1/36).
- Visit the Railway Board’s Commercial Circular No. 01 of 2025 for the revised official format.
- Print the PDF, then get it signed and stamped by a government doctor (signature must overlap with the affixed photograph).
- Submit the completed form—along with required ID proofs and photos—to your Divisional Railway Manager’s (DRM) office to obtain your Divyangjan Photo Identity Card (used for concession bookings).
Summary Table
| Step | Action |
|---|---|
| 1 | Download Appendix 1/36 Concession Certificate PDF (Orthopaedically Handicapped) via the IITG-hosted link. |
| 2 | Confirm the latest format via Commercial Circular No. 1 of 2025 from the Railway Board. |
| 3 | Get the form filled out and certified by a government doctor, following the photo and signature guidelines. |
| 4 | Submit to your DRM office to obtain your Divyangjan ID for concession bookings. |
Need help drafting an application envelope or identifying your nearest DRM office? I’m here to assist!
