Railway Concession Form For Physically Handicapped | Railway Concession Form For Physically Handicapped PDF Download
Railway Concession Form For Physically Handicapped 2023 pdf
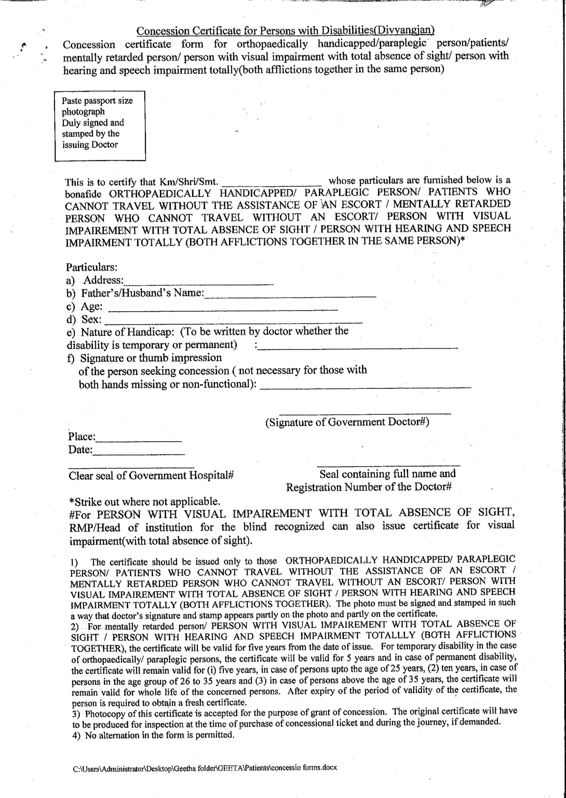
Railway Concession Form PDF | Railway Concession Certificate For Deaf 2023
Railway Concession for Disabled Person
Orthopaedically Handicapped / Paraplegic persons who cannot travel without escort – for any purpose
- 75% in 2nd, SL, 1st Class, 3AC, AC chair Car
- 50% in 1AC and 2AC
- 25% in 3AC & AC Chair Car of Rajdhani / Shatabdi trains
Mentally retarded persons who cannot travel without escort – for any purpose
- 50% in MST & QST
Blind persons travelling alone or with an escort – for any purpose
- One escort is also eligible for same element of concession
Deaf & Dumb persons (both afflictions together in the same person) travelling alone or with an escort – for any purpose.
- 50% in 2nd, SL and 1st Class
- 50% in MST & QST
- One escort is also eligible for same element of concession
Railway Concession Form For Divyang 2021
Existing word: Blind
To be replaced by: Person with Visual Impairment with total absence of sight
Existing word: Deaf and Dumb
To be replaced by: Person with Hearing and Speech Impairment totally (Both afflictions together in the same person)
Existing word: Physically Challenged
To be replaced by: Persons with Disabilities (Divyangjan)
The revised proforma for the certificate is enclosed herewith. Click here the below link and download in Railway Concession Form For Physically Handicapped 2021 pdf in english and hindi version also
Railway Concession Certificate or Form for Handicapped Person, Paraplegic persons, Blind persons, Deaf & Dumb persons in PDF Download – Click Here
