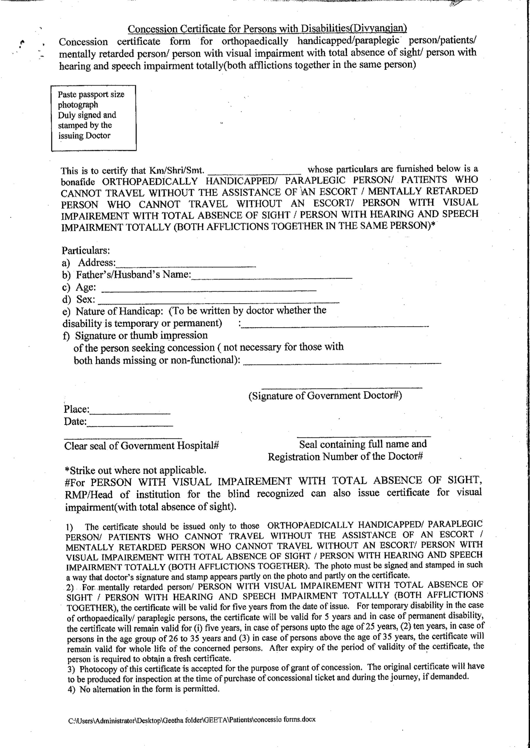
Railway Concession Form For Physically Handicapped 2023 pdf
Railway Concession Form For Divyang 2023
| Existing word | To be replaced by |
| Blind | Person with Visual Impairment with total absence of sight |
| Deaf and Dumb | Person with Hearing and Speech Impairment totally (Both afflictions together in the same person) |
| Physically Challenged | Persons with Disabilities (Divyangjan) |
The revised proforma for the certificate is enclosed herewith. Click here the below link and download in Railway Concession Form For Physically Handicapped 2023 pdf in english and hindi version also
New Concession Certificate form for persons with Disabilities (Blind, Deaf and Dumb) (Divyangjan) English Version

New Concession Certificate form for persons with Disabilities (Blind, Deaf and Dumb) (Divyangjan) Hindi Version

| S. No |
CATEGORY OF PERSONS | PERCENTAGE OF CONCESSION* |
| I | Disabled Passengers | |
| 1 | Orthopaedically Handicapped / Paraplegic persons who cannot travel without escort – for any purpose |
|
| 2 | Mentally retarded persons who cannot travel without escort – for any purpose | |
| 3 | Blind persons travelling alone or with an escort – for any purpose | |
| 4 | Deaf & Dumb persons (both afflictions together in the same person) travelling alone or with an escort – for any purpose. |
|
