एनसीईआरटी सॉल्यूशंस फॉर क्लास 12 फिजिक्स चैप्टर 9 रे ऑप्टिक्स एंड ऑप्टिकल इंस्ट्रूमेंट्स क्लास 12 फिजिक्स के एनसीईआरटी सॉल्यूशंस का हिस्सा हैं । यहां हमने दिया है। एनसीईआरटी समाधान कक्षा 12 भौतिकी अध्याय 9 रे प्रकाशिकी और ऑप्टिकल उपकरण
NCERT Solutions for Class 12 Physics Chapter 9 Ray Optics and Optical Instruments
| तख़्ता | सीबीएसई |
| पाठयपुस्तक | NCERT |
| कक्षा | कक्षा 12 |
| विषय | भौतिक विज्ञान |
| अध्याय | अध्याय 9 |
| अध्याय का नाम | रे ऑप्टिक्स एंड ऑप्टिकल इंस्ट्रूमेंट्स |
| हल किए गए प्रश्नों की संख्या | 37 |
| श्रेणी | NCERT Solutions |
प्रश्न 1.
2.5 सेमी आकार की एक छोटी मोमबत्ती 36 सेमी वक्रता त्रिज्या वाले अवतल दर्पण के सामने 27 सेमी रखी गई है। तीक्ष्ण प्रतिबिम्ब प्राप्त करने के लिए पर्दे को दर्पण से कितनी दूरी पर रखना चाहिए? छवि की प्रकृति और आकार का वर्णन करें। यदि मोमबत्ती को दर्पण के करीब ले जाया जाए, तो स्क्रीन को कैसे हिलाना होगा?
उत्तर:
यहाँ, h = 2.5 सेमी, u = – 27 सेमी, R = – 36 सेमी।

छवि की प्रकृति:वास्तविक, उल्टा और आवर्धित। जब वस्तु की स्थिति (यानी मोमबत्ती) को अवतल दर्पण के करीब ले जाया जाता है, तो छवि की दूरी स्क्रीन से दूर हो जाती है जब तक कि अवतल दर्पण से मोमबत्ती की दूरी 18 सेमी से कम न हो जाए। इसलिए, पर्दे को अवतल दर्पण से दूर ले जाना पड़ता है। जब मोमबत्ती की दूरी अवतल दर्पण से 18 सेमी से कम होती है, तो दर्पण के पीछे मोमबत्ती की आभासी और आवर्धित छवि बनती है। यह छवि स्क्रीन पर प्राप्त नहीं होती है।
प्रश्न 2.
15 सेमी फोकस दूरी वाले उत्तल दर्पण से 12 सेमी की दूरी पर 4.5 सेमी की सुई रखी गई है। छवि और आवर्धन का स्थान दें। वर्णन करें कि क्या होता है जब सुई को दर्पण से दूर ले जाया जाता है।
उत्तर:
यहाँ, h1= 4.5 सेमी, μ = – 12 सेमी, f = 15 सेमी

इस प्रकार, प्रतिबिंब आभासी, सीधा और छोटा होता है। जैसे-जैसे हम सुई को दर्पण से दूर ले जाते हैं, प्रतिबिम्ब का आकार घटता जाता है और दूसरी ओर मुख्य फोकस की ओर बढ़ता जाता है।
प्रश्न 3.
एक टंकी 12.5 cm ऊँचाई तक पानी से भरी हुई है। टैंक के तल पर पड़ी सुई की स्पष्ट गहराई को माइक्रोस्कोप द्वारा 9.4 सेमी मापा जाता है। पानी का अपवर्तनांक क्या होता है? यदि पानी को समान ऊँचाई तक के अपवर्तनांक 1.63 के द्रव से प्रतिस्थापित कर दिया जाए, तो सुई पर पुनः फोकस करने के लिए सूक्ष्मदर्शी को कितनी दूरी तक ले जाना होगा? (सीबीएसई 2009)
उत्तर:

प्रश्न 4.
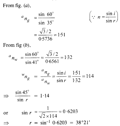
निम्नलिखित आंकड़े (ए) और (बी) हवा में एक घटना किरण के अपवर्तन को क्रमशः 60 डिग्री पर कांच-वायु और जल-वायु इंटरफेस के सामान्य के साथ दिखाते हैं। जल-कांच के अंतरापृष्ठ के अभिलंब से 45° पर जल में आपतित किरण के अपवर्तन कोण की भविष्यवाणी करें [चित्र। (c)]

उत्तर:

प्रश्न 5.
एक छोटा बल्ब 80 सेमी की गहराई तक पानी से भरे टैंक के तल पर रखा जाता है। पानी की सतह का क्षेत्रफल क्या है जिससे बल्ब से प्रकाश निकल सकता है? पानी का अपवर्तनांक 1.33 है (बल्ब को एक बिंदु स्रोत मानें)।
उत्तर:

बल्ब बी से प्रकाश किरणों, जो एक कोण पर पानी की सतह पर गिर महत्वपूर्ण कोण के बराबर (θसी), पानी की सतह पर चरने और प्रकाश की किरणें जो पानी की सतह पर C से अधिक कोण पर पड़ती हैं, पूरी तरह से आंतरिक रूप से वापस पानी में परावर्तित हो जाती हैं। प्रकाश छवियों की किरणें त्रिज्या r के एक गोलाकार पैच के माध्यम से पानी से निकलती हैं।

प्रश्न 6.
एक प्रिज्म अज्ञात अपवर्तनांक के काँच का बना होता है। प्रिज्म के एक फलक पर प्रकाश की एक समानांतर किरण आपतित होती है। प्रिज्म को घुमाकर न्यूनतम विचलन कोण 40° मापा जाता है। प्रिज्म की सामग्री का अपवर्तनांक क्या है? यदि प्रिज्म को पानी (अपवर्तनांक 1.33) में रखा जाता है, तो प्रकाश के समानांतर बीम के न्यूनतम विचलन के नए कोण की भविष्यवाणी करें। प्रिज्म का अपवर्तन कोण 60° होता है।
उत्तर:


प्रश्न 7.
डबल-उत्तल लेंस 1.55 अपवर्तनांक के एक गिलास से निर्मित किए जाने हैं, जिसके दोनों फलक समान वक्रता त्रिज्या के हों। यदि फोकस दूरी 20 सेमी हो तो वक्रता त्रिज्या कितनी होगी?
उत्तर:
यहाँ, n = 1.55, R1= R और R2= – R, f = 20 सेमी लेंस निर्माता सूत्र का उपयोग करते हुए, हमें

प्रश्न 8 प्राप्त
होता है। प्रकाश की एक किरण एक बिंदु P पर अभिसरण करती है। पथ में एक लेंस रखा जाता है। यदि लेंस (a) फोकल लंबाई 20 सेमी का उत्तल लेंस है, (b) फोकल लंबाई 16 सेमी का अवतल लेंस है, तो बीम किस बिंदु पर अभिसरण करता है?
उत्तर:
(ए) जब एक उत्तल लेंस को पी पर प्रकाश के अभिसरण के मार्ग में रखा जाता है, तो बीम पीटीपर परिवर्तित हो जाताहै. इस प्रकार, बिंदु P उत्तल लेंस के लिए आभासी वस्तु के रूप में कार्य करता है।
अब, u = 12 सेमी, f= 20 सेमी।


प्रश्न 9.
3.0 सेमी आकार की एक वस्तु 21 सेमी फोकस दूरी के अवतल लेंस के सामने 14 सेमी रखी गई है। लेंस द्वारा निर्मित प्रतिबिम्ब का वर्णन कीजिए। क्या होता है यदि वस्तु को लेंस से दूर ले जाया जाता है?
उत्तर:

इस प्रकार, प्रतिबिंब आभासी, सीधा, छोटा होता है और लेंस से 8.4 सेमी की दूरी पर लेंस के एक ही तरफ बनता है। यदि वस्तु को लेंस से दूर ले जाया जाता है, तो छवि मुख्य फोकस की ओर बढ़ती है और आकार में घटती जाती है।
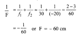
प्रश्न 10.
20 सेमी फोकस दूरी के अवतल लेंस के संपर्क में 30 सेमी फोकस दूरी वाले उत्तल लेंस की फोकस दूरी क्या है? क्या निकाय अभिसारी या अपसारी लेंस है? लेंस की मोटाई पर ध्यान न दें।
उत्तर:
यहाँ f1= 30 सेमी और f2= -20 सेमी
दो पतले लेंसों के संयोजन के लिए, संयोजन की फोकल लंबाई किसके द्वारा दी जाती है

क्योंकि लेंस की प्रणाली की फोकल लंबाई ऋणात्मक है, इसलिए, संयोजन व्यवहार करता है अपसारी लेंस के रूप में।
प्रश्न 11.
एक संयुक्त सूक्ष्मदर्शी में 2-0 सेमी फोकस दूरी का एक अभिदृश्यक लेंस और 15 सेमी की दूरी से 6.25 सेमी फोकस दूरी का एक नेत्र-टुकड़ा होता है। अंतिम छवि प्राप्त करने के लिए वस्तु को उद्देश्य से कितनी दूर रखा जाना चाहिए (ए) स्पष्ट दृष्टि की कम से कम दूरी (25 सेमी), (बी) अनंत? प्रत्येक स्थिति में सूक्ष्मदर्शी की आवर्धन क्षमता कितनी होती है? (सीबीएसई 2008)
उत्तर:
यहाँ, fn=2.0 सेमी, f = 6.25 सेमी,
वस्तु लेंस और आँख के टुकड़े के बीच की दूरी = 15 सेमी (ए) अलग दृष्टि की कम से कम दूरी पर छवि बनाने के लिए,


प्रश्न 12.
एक सामान्य निकट बिंदु (25 सेमी) वाला व्यक्ति8.0मिमीफोकल लंबाई के एक संयुक्त माइक्रोस्कोप का उपयोग करकेऔर 2.5 सेमी फोकल लंबाई के एक आंख के टुकड़े का उपयोग करके उद्देश्य से 9.0 मिमी की दूरी पर स्थित वस्तु को तेज फोकस में ला सकता है। दो लेंसों के बीच अलगाव क्या है? सूक्ष्मदर्शी की आवर्धन क्षमता कितनी होती है?
उत्तर:


प्रश्न 13.
एक छोटी दूरदर्शी में एक वस्तुनिष्ठ लेंस जिसका फोकस दूरी 144 cm है और एक नेत्रिका फोकस दूरी 6.0 cm है। दूरबीन की आवर्धन शक्ति क्या है? उद्देश्य और आँख के टुकड़े के बीच क्या अंतर है?
उत्तर:
यहाँ, वस्तुनिष्ठ लेंस की फोकस दूरी, f 0 = 144 सेमी फोकल

प्रश्न 14.
(ए) एक वेधशाला में एक विशाल अपवर्तक दूरबीन में फोकल लंबाई 15 मीटर का एक उद्देश्य लेंस होता है। यदि 1.0 सेमी फोकस दूरी के एक नेत्र के टुकड़े का उपयोग किया जाता है, तो दूरबीन का कोणीय आवर्धन क्या है?
(बी) यदि इस दूरबीन का उपयोग चंद्रमा को देखने के लिए किया जाता है, तो वस्तुनिष्ठ लेंस द्वारा निर्मित चंद्रमा की छवि का व्यास क्या है? चंद्रमा का व्यास ३.४८ x १०६मीटर है और चंद्र कक्षा की त्रिज्या ३.८ x १०८मीटर है। (सीबीएसई 2008, 2011)
उत्तर:

प्रश्न 15.
दर्पण समीकरण का उपयोग करके यह निष्कर्ष निकालें कि
(a) अवतल दर्पण के f और 2f के बीच रखी कोई वस्तु 2f से आगे का वास्तविक प्रतिबिंब बनाती है।
(बी) एक उत्तल दर्पण हमेशा वस्तु के स्थान से स्वतंत्र एक आभासी छवि उत्पन्न करता है।
(सी) उत्तल दर्पण द्वारा निर्मित आभासी छवि हमेशा आकार में कम होती है और फोकस और ध्रुव के बीच स्थित होती है।
(डी) अवतल दर्पण के ध्रुव और फोकस के बीच रखी गई वस्तु एक आभासी और बढ़ी हुई छवि बनाती है। (सीबीएसई 2011)
उत्तर:



प्रश्न 16.
टेबल टॉप पर लगा एक छोटा सा पिन ऊपर से 50 सेमी की दूरी से देखा जाता है। टेबल के समानांतर रखे गए 15 सेमी मोटे कांच के स्लैब के माध्यम से एक ही बिंदु से देखने पर पिन कितनी दूरी तक उठी हुई दिखाई देगी?
कांच का अपवर्तनांक = 1.5. क्या उत्तर स्लैब के स्थान पर निर्भर करता है?
उत्तर:
यहाँ, t = 15 सेमी, n = 1.5
पार्श्व विस्थापन

आपतन के छोटे कोणों के लिए, उत्तर स्लैब के स्थान पर निर्भर नहीं करता है।
प्रश्न 17.
(ए) निम्नलिखित आकृति 1.68 अपवर्तनांक के ग्लास फाइबर से बने ‘लाइट पाइप’ के क्रॉस-सेक्शन को दर्शाती है। पाइप का बाहरी आवरण अपवर्तनांक 1.44 की सामग्री से बना है। पाइप की कुल्हाड़ियों के साथ आपतित किरणों के कोणों की सीमा क्या है जिसके लिए पाइप के अंदर पूर्ण आंतरिक परावर्तन होता है जैसा कि चित्र में दिखाया गया है?
(ख) यदि पाइप का बाहरी आवरण न हो तो उत्तर क्या है ?

उत्तर:


इसलिए 0 से 90° की सीमा में सभी आपतित किरणें पूर्ण आंतरिक परावर्तन को प्रभावित करती हैं।
प्रश्न 18.
निम्नलिखित प्रश्नों के उत्तर दीजिए :
(क) आपने सीखा है कि समतल और उत्तल दर्पण वस्तुओं के आभासी प्रतिबिम्ब बनाते हैं। क्या वे कुछ परिस्थितियों में वास्तविक प्रतिबिम्ब उत्पन्न कर सकते हैं? समझाना।
(बी) एक आभासी छवि, हम हमेशा कहते हैं, स्क्रीन पर नहीं पकड़ा जा सकता है। फिर भी जब हम एक आभासी छवि देखते हैं, तो हम स्पष्ट रूप से इसे अपनी आंख की ‘स्क्रीन’ (यानी, रेटिना) पर ला रहे होते हैं। क्या कोई विरोधाभास है?
(ग) पानी के नीचे एक गोताखोर, एक झील के किनारे खड़े एक मछुआरे को तिरछी नज़र से देखता है, क्या मछुआरा गोताखोर की तुलना में लंबा या छोटा लगेगा जो वह वास्तव में है?
(घ) यदि तिरछी दृष्टि से देखा जाए तो क्या पानी की टंकी की स्पष्ट गहराई बदल जाती है? यदि हां, तो क्या प्रत्यक्ष गहराई बढ़ती या घटती है
(e) हीरे का अपवर्तनांक साधारण कांच की तुलना में बहुत अधिक होता है। क्या यह तथ्य हीरा काटने वाले के लिए किसी काम का है?
उत्तर:
(ए) हाँ। वे वास्तविक छवियों का उत्पादन कर सकते हैं यदि वस्तु एक आभासी वस्तु है जैसा कि चित्र में दिखाया गया है।

(बी)यहाँ इस मामले में कोई विरोधाभास नहीं है। वस्तु का आभासी प्रतिबिम्ब हमारी आँख के उत्तल लेंस के लिए वस्तु का कार्य करता है और हमारी आँख का लेंस इस वस्तु का वास्तविक प्रतिबिम्ब रेटिना पर बनाता है।
(c) मान लीजिए AB झील के किनारे खड़ा मछुआरा है। मछुआरे के सिर से प्रकाश की किरणें पानी और हवा को अलग करने वाले इंटरफेस पर अपवर्तन पर अभिलंब की ओर झुक जाती हैं। अपवर्तित किरणें मछली के लिए बिंदु B के स्थान पर बिंदु B’ से आती हुई प्रतीत होती हैं। इस प्रकार, एक गोताखोर के लिए मछुआरे की ऊंचाई AB’ है जो उसकी वास्तविक ऊंचाई AB से अधिक है।

(डी) पानी के तालाब की स्पष्ट गहराई को देखने पर कम हो जाती है। यह पानी की सतह से प्रकाश के अपवर्तन के कारण होता है।

प्रश्न १९.
एक कमरे की दीवार पर लगे एक छोटे बिजली के बल्ब का प्रतिबिंब एक बड़े उत्तल लेंस के माध्यम से 3 मीटर दूर विपरीत दीवार पर प्राप्त करना है। इस उद्देश्य के लिए आवश्यक लेंस की अधिकतम संभव फोकस दूरी क्या है?
उत्तर:
फोकस दूरी के उत्तल लेंस द्वारा निर्मित वास्तविक वस्तु और उसके वास्तविक प्रतिबिम्ब के बीच की न्यूनतम दूरी L = 4f द्वारा दी गई है।
प्रश्न 20.
किसी वस्तु से 90 सेमी की दूरी पर एक पर्दा रखा गया है। स्क्रीन पर बिंब का प्रतिबिम्ब उत्तल लेंस द्वारा दो अलग-अलग स्थानों पर 20 सेमी की दूरी पर बनता है। लेंस की फोकस दूरी ज्ञात कीजिए।
उत्तर:
मान लीजिए कि ओ वस्तु की स्थिति है और I प्रतिबिंब की स्थिति है जब लेंस एल1 पर हैऔर फिर एल2

प्रश्न 21 पर है।
(ए) प्रश्न 910 में दो लेंसों के संयोजन की प्रभावी फोकल लंबाई निर्धारित करें यदि उन्हें उनके मुख्य अक्षों के संयोग से 8.0 सेमी की दूरी पर रखा गया है। क्या उत्तर इस बात पर निर्भर करता है कि समानांतर प्रकाश की किरण किस तरफ आपतित है? क्या इस प्रणाली की प्रभावी फोकस दूरी की धारणा बिल्कुल उपयोगी है?
(बी) उपरोक्त व्यवस्था में उत्तल लेंस की तरफ 1.5 सेमी आकार की वस्तु रखी गई है। वस्तु और उत्तल लेंस के बीच की दूरी 40 सेमी है। दो-लेंस प्रणाली द्वारा उत्पादित आवर्धन और छवि का आकार निर्धारित करें।
उत्तर:



प्रश्न 22.
60° के अपवर्तन कोण वाले प्रिज्म के फलक पर प्रकाश की किरण किस कोण पर आपतित होनी चाहिए ताकि वह दूसरे फलक पर पूर्ण आंतरिक परावर्तन को झेल सके? प्रिज्म के पदार्थ का अपवर्तनांक 1.524 है।
उत्तर:
मान लीजिए कि प्रकाश की किरण फलक AB पर कोण i पर आपतित होती है, ताकि वह पूर्णतः आंतरिक रूप से फलक AC पर परावर्तित हो।

प्रश्न 23.
आपको विभिन्न कोणों वाले क्राउन ग्लास और फ्लिंट ग्लास से बना प्रिज्म दिया गया है। प्रिज्मों के एक संयोजन का सुझाव दें जो(ए) बिना अधिक फैलाव के सफेद प्रकाश की एक पेंसिल को विचलित करदेगा(बी)सफेद प्रकाश की एक पेंसिल को बिना अधिक विचलन के फैलाएगा (और विस्थापित करेगा)।
उत्तर:
(ए) दो प्रिज्मोंयानीक्राउन ग्लास और फ्लिंट ग्लास
द्वारा निर्मित कोणीय फैलावशून्य होना चाहिए इस मामले

में प्रिज्म के संयोजन में, अधिक कोण वाले फ्लिंट ग्लास प्रिज्म की कोशिश की जा सकती है लेकिन किसी भी मामले में यह कोण इससे छोटा होगा विपरीत क्रम में क्राउन ग्लास प्रिज्म का कोण जैसा कि चित्र में दिखाया गया है।
प्रश्न 24.
सामान्य नेत्र के लिए दूर बिंदु अनंत पर होता है और सुस्पष्ट दृष्टि का निकट बिंदु आंख के सामने लगभग 2.5 सेमी होता है। आंख का कॉर्निया लगभग ४० डायोप्टर की अभिसारी शक्ति प्रदान करता है, और कॉर्निया के पीछे नेत्र लेंस की कम से कम अभिसरण शक्ति लगभग २० डायोप्टर्स है। इस मोटे डेटा से एक सामान्य आंख के आवास की सीमा {यानी, नेत्र-लेंस की अभिसरण शक्ति की सीमा) का अनुमान लगाया जाता है।
उत्तर:
जब वस्तु को अनंत पर रखा जाता है, तो आँख कम से कम अभिसारी शक्ति का उपयोग करती है, इसलिए, कॉर्निया और नेत्र लेंस की कुल अभिसारी शक्ति = 40 + 20 = 60 डायोप्टर।

प्रश्न 25.
क्या अदूरदर्शिता (मायोपिया) या दीर्घ-दृष्टि (हाइपरमेट्रोपिया) का अर्थ यह है कि आंख आंशिक रूप से अपनी आवास क्षमता खो चुकी है? यदि नहीं, तो इन दृष्टि दोषों का क्या कारण हो सकता है ?
उत्तर:
नहीं। नेत्रगोलक के लंबे होने के कारण मायोपिया उत्पन्न हो सकता है और आँख में सामान्य रूप से रहने की क्षमता होने पर भी नेत्रगोलक के आकार में कमी के कारण हाइपरमेट्रोपिया उत्पन्न हो सकता है। आंख में एक और दोष है जिसे हाइपरमेट्रोपिया के समान प्रेसबायोपिया कहा जाता है। हालांकि, प्रेसबायोपिया और हाइपरमेट्रोपिया के कारण अलग हैं। प्रेसबायोपिया बुजुर्ग व्यक्तियों में उत्पन्न होता है और द्वि-फोकल लेंस का उपयोग करके इसे ठीक किया जाता है।
प्रश्न 26.
दूर दृष्टि के लिए एक अदूरदर्शी व्यक्ति शक्ति के चश्मे – 1.0 डायोप्टर का उपयोग कर रहा है। वृद्धावस्था के दौरान उसे+2डायोप्टर
की शक्ति के अलग रीडिंग ग्लास का उपयोग करने की भी आवश्यकताहोती है। समझाएं कि क्या हुआ होगा। उत्तर
-1.0 डायोप्टर के लिए आंखों के लिए दूर बिंदु 1 मीटर यानी 100 सेमी है। निकट बिंदु 25 सेमी है। अनंत पर पड़ी वस्तुओं को अवतल लेंस का उपयोग करके उसकी आंखों से 100 सेमी की दूरी पर लाया जाता है और 25 सेमी और 100 सेमी के बीच की वस्तुओं को नेत्र लेंस के समायोजन की क्षमता का उपयोग करके ध्यान केंद्रित करने के लिए लाया जाता है। वृद्धावस्था में रहने की यह क्षमता कम हो जाती है और निकट बिंदु उसकी आँखों से 50 सेमी तक पहुँच जाता है।

प्रश्न 27.
पार किए गए तारों के जाल को देखने वाला व्यक्ति क्षैतिज तारों की तुलना में ऊर्ध्वाधर तारों को अधिक स्पष्ट रूप से देख पाता है। यह दोष किस कारण से है? दृष्टि के ऐसे दोष को कैसे ठीक किया जाता है?
उत्तर:
यह दृष्टिवैषम्य नामक लेंस के दोष के कारण होता है। दोष इस तथ्य के कारण उत्पन्न होता है कि विभिन्न तलों में नेत्र-लेंस और कॉर्निया की वक्रता समान नहीं होती है। ऊर्ध्वाधर अक्ष वाले बेलनाकार लेंस का उपयोग करके इस दोष को दूर किया जाता है।
प्रश्न 28.
एक सामान्य निकट बिंदु (25 सेमी) वाला एक व्यक्ति एक आवर्धक कांच का उपयोग करके छोटे प्रिंट वाली एक पुस्तक पढ़ता है: फोकल लंबाई 5 सेमी का एक पतला उत्तल लेंस।
(ए) आवर्धक कांच के माध्यम से देखने पर वह सबसे निकटतम और सबसे दूर की दूरी क्या है जिस पर वह पुस्तक पढ़ सकता है?
(बी) उपरोक्त सरल सूक्ष्मदर्शी का उपयोग करके अधिकतम और न्यूनतम कोणीय आवर्धन (आवर्धन शक्ति) क्या संभव है?
उत्तर:
(ए)वस्तु को निकटतम दूरी पर देखने के लिए, वस्तु का प्रतिबिम्ब स्पष्ट दृष्टि से कम से कम दूरी पर बनना चाहिए।


प्रश्न 29.
1 मिमी2आकार के वर्गों में विभाजित एक कार्ड शीटको 9 सेमी की दूरी पर एक आवर्धक कांच (फोकल लंबाई 10 सेमी का एक अभिसारी लेंस) के माध्यम से देखा जा रहा है, जिसे आंख के पास रखा गया है।
(ए) लेंस द्वारा उत्पादित आवर्धन (छवि आकार/वस्तु आकार) क्या है? आभासी वस्तु में प्रत्येक वर्ग का क्षेत्रफल कितना है?
(बी) लेंस का कोणीय आवर्धन (आवर्धन शक्ति) क्या है?
(c) क्या
(1) में आवर्धन
(2) में आवर्धन शक्ति के बराबर है ? समझाना।
उत्तर:

(सी) स्पष्ट रूप से आवर्धन और शक्ति आवर्धन एक दूसरे के बराबर नहीं हैं जब तक कि छवि स्पष्ट दृष्टि की कम से कम दूरी के पास स्थित न हो, ई। वी = डी।
प्रश्न ३०.
(a) उपरोक्त अभ्यास में लेंस को चित्र से कितनी दूरी पर रखा जाना चाहिए ताकि वर्गों को अधिकतम संभव आवर्धन शक्ति के साथ स्पष्ट रूप से देखा जा सके?
(बी) इस मामले में आवर्धन (छवि आकार/वस्तु आकार) क्या है?
(सी) क्या इस मामले में आवर्धन आवर्धन शक्ति के बराबर है? समझाना।
उत्तर:
(ए)आवर्धन शक्ति अधिकतम होती है यदि छवि आंख से अलग बिंदु की कम से कम दूरी पर बनती है, अर्थात, यदि υ = -25 सेमी; साथ ही, f = 10 सेमी

=> इस मामले में रैखिक आवर्धन और आवर्धन शक्ति बराबर है।
प्रश्न 31.
पिछले अभ्यास में वस्तु और आवर्धक कांच के बीच की दूरी क्या होनी चाहिए यदि आकृति में प्रत्येक वर्ग की आभासी छवि का क्षेत्रफल 6.25 मिमी2 है? क्या आप आवर्धक के बहुत करीब से अपनी आँखों से वर्गों को स्पष्ट रूप से देख पाएंगे?
उत्तर:

प्रश्न 32.
निम्नलिखित प्रश्नों के उत्तर दें:
(ए) किसी वस्तु द्वारा आंख पर बनाया गया कोण एक आवर्धक कांच द्वारा निर्मित वायरल छवि द्वारा आंख पर अंतरित कोण के बराबर होता है। फिर किस अर्थ में एक आवर्धक काँच कोणीय आवर्धन प्रदान करता है?
(बी)एक आवर्धक कांच के माध्यम से देखने में, व्यक्ति आमतौर पर अपनी आंखों को लेंस के बहुत करीब रखता है। आंख को पीछे ले जाने पर क्या कोणीय आवर्धन बदल जाता है?
(c) एक साधारण सूक्ष्मदर्शी की आवर्धन क्षमता लेंस की फोकस दूरी के व्युत्क्रमानुपाती होती है। फिर हमें छोटी और छोटी फोकल लंबाई के उत्तल लेंस का उपयोग करने और अधिक से अधिक आवर्धन शक्ति प्राप्त करने से क्या रोकता है?
(डी) एक संयुक्त सूक्ष्मदर्शी के उद्देश्य और आंख के टुकड़े दोनों की फोकल लंबाई कम क्यों होनी चाहिए?
(ई) एक संयुक्त सूक्ष्मदर्शी के माध्यम से देखते समय, हमारी आंखें आंख के टुकड़े पर नहीं बल्कि सबसे अच्छी तरह से देखने के लिए उससे थोड़ी दूरी पर स्थित होनी चाहिए। क्यों? आँख और नेत्रिका के बीच इतनी कम दूरी कितनी होनी चाहिए?
उत्तर:
(ए)जब आवर्धक कांच का उपयोग नहीं किया जाता है, तो स्पष्ट रूप से दिखाई देने वाली वस्तु को 25 सेमी पर रखा जाना चाहिए। हालांकि, आवर्धक कांच का उपयोग करते समय, वस्तु को 25 सेमी की तुलना में आंख के करीब रखा जा सकता है। 25 सेमी पर रखी गई समान वस्तु की तुलना में करीब की वस्तु का कोणीय आकार बड़ा होता है। यह इस अर्थ में है कि आवर्धक कांच कोणीय आवर्धन प्रदान करता है।
(बी) हाँ। कोणीय आवर्धन थोड़ा कम हो जाता है क्योंकि आंख पर अंतरित कोण लेंस पर अंतरित कोण से कुछ कम होता है।
(सी) यदि छोटे और छोटे फोकल लंबाई के उत्तल लेंस बनाए जाते हैं तो गोलाकार और रंगीन विपथन जैसे विपथन उभरने लगते हैं।
(डी) आंख के टुकड़े का कोणीय आवर्धन (1+D/f e ) द्वारा दिया जाता है और उद्देश्य का कोणीय आवर्धन लगभग υ/f द्वारा दिया जाता है0 . स्पष्ट रूप से बेहतर आवर्धन के लिए आँख के टुकड़े f e की फोकल लंबाई और उद्देश्य f e की फोकल लंबाई छोटी होनी चाहिए।
(ई) अगर हम अपनी आंख को ऐपिस के बहुत करीब रखते हैं, तो पूरी रोशनी हमारी आंख पर नहीं पड़ेगी और देखने का क्षेत्र कम हो जाएगा। इसलिए हम देखने के क्षेत्र को बढ़ाने के लिए ऐपिस के माध्यम से अपवर्तित प्रकाश की बड़ी मात्रा को इकट्ठा करने के लिए अपनी आंख को आई-पीस से थोड़ी दूरी पर रखते हैं।
प्रश्न 33.
फोकल लंबाई 1.25 सेमी और फोकल लंबाई 5 सेमी के आंख के टुकड़े का उपयोग करके 30 X का कोणीय आवर्धन (आवर्धन शक्ति) वांछित है। आप यौगिक सूक्ष्मदर्शी की स्थापना किस प्रकार करेंगे ?
उत्तर:
स्पष्ट दृष्टि से कम से कम दूरी पर बने प्रतिबिम्ब के लिए, आवर्धन शक्ति


प्रश्न 34 द्वारा दी गई है ।
एक छोटी दूरबीन में 140 सेमी फोकस दूरी का एक ऑब्जेक्टिव लेंस और 5.0 सेमी फोकस दूरी का एक आंख का टुकड़ा होता है। दूर की वस्तुओं को देखने के लिए दूरबीन की आवर्धन शक्ति क्या है जब
(ए) दूरबीन सामान्य समायोजन में है (अर्थात, जब अंतिम छवि अनंत पर बनती है)?
(बी) अंतिम छवि अलग दृष्टि (25 सेमी) की कम से कम दूरी पर बनाई गई है?
उत्तर

प्रश्न 35.
पिछले अभ्यास में वर्णित दूरबीन के लिए, 9.34
(ए) में उद्देश्य लेंस और आंख के टुकड़े के बीच अलगाव क्या है?
(बी) यदि इस दूरबीन का उपयोग 3 किमी दूर 100 मीटर ऊंचे टावर को देखने के लिए किया जाता है, तो ऑब्जेक्टिव लेंस द्वारा बने टावर की छवि की ऊंचाई क्या है?
(c) यदि मीनार का अंतिम प्रतिबिम्ब 25 सेमी पर बनता है, तो उसकी अंतिम प्रतिबिम्ब की ऊँचाई कितनी होगी?
उत्तर:
(a) चूँकि अंतिम प्रतिबिम्ब अनंत पर बनता है, बिंब लेंस और नेत्रिका के बीच की दूरी f 0 + f e = 140 + 5 = 145 cm

प्रश्न 36 है।
एक कैससेग्रेन दूरबीन दो दर्पणों का उपयोग करती है जैसा कि चित्र में दिखाया गया है। ऐसी दूरबीन 20 मिमी दूर दर्पणों के साथ बनाई गई है। यदि बड़े दर्पण की वक्रता त्रिज्या 220 मिमी और छोटा दर्पण 140 मिमी है, तो अनंत पर किसी वस्तु की अंतिम छवि कहाँ होगी?

उत्तर:

प्रश्न 37.
संलग्न आकृति में एक समतल दर्पण के शीर्ष पर एक तरल परत के संपर्क में एक विषुव उत्तल लेंस (अपवर्तनांक 1.50 का) दिखाया गया है। एक छोटी सुई, जिसकी नोक मुख्य अक्ष पर होती है, धुरी के अनुदिश तब तक चलती है जब तक कि सुई की स्थिति में उसका उल्टा प्रतिबिम्ब न मिल जाए। लेंस से सुई की दूरी 45.0 सेमी मापी जाती है। तरल हटा दिया जाता है और प्रयोग दोहराया जाता है। नई दूरी 30.0 सेमी मापी गई है। द्रव का अपवर्तनांक क्या होता है?

उत्तर:
तरल की उपस्थिति में, लेंस से सुई की दूरी उत्तल लेंस और उसके नीचे तरल द्वारा निर्मित पियानो अवतल लेंस के संयोजन की फोकल लंबाई f के बराबर होती है अर्थात f = 45 सेमी। साथ ही n = 1.5
द्रव की अनुपस्थिति में सुई और लेंस की दूरी केवल उत्तल लेंस की फोकस दूरी के बराबर होती है अर्थात f = 30 सेमी
.’। अगर च 2 गठन विमान अवतल लेंस की फोकल लंबाई है

हम उम्मीद करते हैं कि एनसीईआरटी सोलूशन्स क्लास 12 भौतिकी चैप्टर 9 रे प्रकाशिकी और प्रकाशिक उपकरण आपके लिए मददगार साबित होंगे। यदि आपके पास एनसीईआरटी सोलूशन्स क्लास 12 फिजिक्स चैप्टर 9 रे ऑप्टिक्स एंड ऑप्टिकल इंस्ट्रूमेंट्स के बारे में कोई प्रश्न हैं, तो नीचे कमेंट करें और हम आपसे जल्द से जल्द संपर्क करेंगे।
