एनसीईआरटी सॉल्यूशंस फॉर क्लास 12 फिजिक्स चैप्टर 8 इलेक्ट्रोमैग्नेटिक वेव्स क्लास 12 फिजिक्स के एनसीईआरटी सॉल्यूशंस का हिस्सा हैं । यहां हमने दिया है। कक्षा 12 भौतिकी अध्याय 8 विद्युतचुंबकीय तरंगें के लिए एनसीईआरटी समाधान
NCERT Solutions for Class 12 Physics Chapter 8 Electromagnetic Waves
| तख़्ता | सीबीएसई |
| पाठयपुस्तक | NCERT |
| कक्षा | कक्षा 12 |
| विषय | भौतिक विज्ञान |
| अध्याय | अध्याय 8 |
| अध्याय का नाम | विद्युतचुम्बकीय तरंगें |
| हल किए गए प्रश्नों की संख्या | 15 |
| श्रेणी | NCERT Solutions Class 12 |
प्रश्न 1.
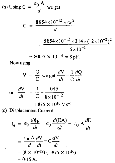
चित्र में दो वृत्ताकार प्लेटों से बना एक संधारित्र दिखाया गया है, जिसकी त्रिज्या 12 सेमी है और जो 5.0 सेमी से अलग है। संधारित्र को बाहरी स्रोत द्वारा चार्ज किया जा रहा है (चित्र में नहीं दिखाया गया है)। चार्जिंग धारा स्थिर है और 0.15 ए के बराबर है।
(ए) प्लेटों के बीच संभावित अंतर के समाई और परिवर्तन की दर की गणना करें।
(बी) प्लेटों में विस्थापन वर्तमान प्राप्त करें।
(c) क्या किरचॉफ्स प्रथम नियम संधारित्र की प्रत्येक प्लेट पर मान्य है ? समझाना।

उत्तर:

हाँ। क्योंकि एक प्लेट में प्रवेश करने वाली चालन धारा उस प्लेट से निकलने वाली विस्थापन धारा के बराबर होती है।
प्रश्न 2.
एक समानांतर प्लेट संधारित्र (चित्र में दिखाया गया है) वृत्ताकार प्लेटों से बना है, जिनमें से प्रत्येक त्रिज्या R = 6.0 सेमी है, जिसकी धारिता C = 100 pF है। संधारित्र 300 rad s_1की (कोणीय) आवृत्ति के साथ 230 V ac आपूर्ति से जुड़ा है।
(ए) चालन धारा का r.ms मान क्या है?
(बी) क्या चालन धारा विस्थापन धारा के बराबर है?
(सी) के आयाम का निर्धारण करेंबी→प्लेटों के बीच अक्ष से 3.0 सेमी के बिंदु पर।

उत्तर:



प्रश्न 3.
gg तरंगदैर्घ्य 10-10mकी X-किरणों, 6800 A तरंगदैर्घ्य की लाल बत्ती और 500 m तरंगदैर्घ्य की रेडियोतरंगों केलिए कौन-सी भौतिक मात्रा समान है?
उत्तर:
निर्वात में गति सभी के लिए समान होती है c = 3 x 108ms-1। (विद्युतचुम्बकीय तरंगें)
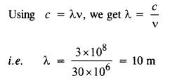
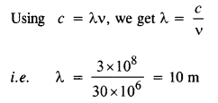
प्रश्न 4.
एक समतल वैद्युतचुंबकीय तरंग निर्वात में Z-दिशा में गमन करती है। आप इसके विद्युत और चुंबकीय क्षेत्र सदिशों की दिशाओं के बारे में क्या कह सकते हैं? यदि तरंग की आवृत्ति 30 MHz है, तो उसकी तरंगदैर्घ्य क्या है?
उत्तर:
विद्युत क्षेत्र वेक्टरइ→ और चुंबकीय क्षेत्र वेक्टरबी→xy समतल में हैं। वे एक दूसरे के लिए सामान्य हैं।

प्रश्न 5.
एक रेडियो 7.5 मेगाहर्ट्ज से 12 मेगाहर्ट्ज बैंड में किसी भी स्टेशन में ट्यून कर सकता है। संबंधित तरंग दैर्ध्य बैंड क्या है?
उत्तर:

=> संगत तरंगदैर्घ्य बैंड ४० मीटर से २५ मीटर है।
प्रश्न 6.
एक आवेशित कण अपनी माध्य संतुलन स्थिति के बारे में 109हर्ट्जकी आवृत्ति के साथ दोलन करता है। थरथरानवाला द्वारा उत्पन्न विद्युत चुम्बकीय तरंगों की आवृत्ति क्या है?
उत्तर:
उत्पन्न विद्युत चुम्बकीय तरंगों की आवृत्ति वही होती है जो आवेशित आवेशित कण की होती है। अत: उत्पन्न विद्युत चुम्बकीय तरंगों की आवृत्ति = 109Hz है।
प्रश्न 7.
निर्वात में किसी हार्मोनिक वैद्युतचुंबकीयतरंग के चुंबकीय क्षेत्र भाग का आयाम B0=510 nT है। थरथरानवाला द्वारा उत्पन्न विद्युत चुम्बकीय तरंगें क्या हैं?
उत्तर:

प्रश्न 8.
मान लीजिए कि विद्युत चुम्बकीय तरंग का विद्युत क्षेत्र आयाम E0= 120 N/C है और इसकी आवृत्ति v = 50.0 MHz है।
(ए) निर्धारित करें, बी0, , के और ।
(बी) ई और बी के लिए अभिव्यक्ति खोजें।
उत्तर:


प्रश्न 9.
पाठ में विद्युत चुम्बकीय वर्णक्रम के विभिन्न भागों की शब्दावली दी गई है। सूत्र E = hv (विकिरण की मात्रा की ऊर्जा के लिए: फोटॉन) का उपयोग करें और विद्युत चुम्बकीय वर्णक्रम के विभिन्न भागों के लिए eV की इकाइयों में फोटॉन ऊर्जा प्राप्त करें। आपको प्राप्त होने वाली फोटॉन ऊर्जा के विभिन्न पैमाने किस प्रकार विद्युत चुम्बकीय विकिरण के स्रोतों से संबंधित हैं?
उत्तर:
फोटॉन ऊर्जा के संबंध का उपयोग करना,


निष्कर्ष। उपरोक्त परिणाम इंगित करता है कि विद्युत चुम्बकीय वर्णक्रम में विभिन्न तरंग दैर्ध्य अक्सर शक्तियों को लगभग गुणा करके प्राप्त किया जा सकता है।
दृश्य तरंगदैर्घ्य कुछ eV द्वारा दूरी पर हैं।
परमाणु ऊर्जा का स्तर (y किरणों से) लगभग 1 MeV के बीच होता है।
प्रश्न 10.
समतल विद्युतचुंबकीय तरंग में, विद्युत क्षेत्र 2.0 x 1010हर्ट्ज की आवृत्ति और आयाम 48 Vm_1पर साइनसॉइड रूप से दोलन करता है।
(ए) तरंग की तरंग दैर्ध्य क्या है?
(बी) दोलन चुंबकीय क्षेत्र का आयाम क्या है?
(सी) दिखाएँ कि ई क्षेत्र की औसत ऊर्जा घनत्व बी क्षेत्र की औसत ऊर्जा घनत्व के बराबर है। [सी = ३ x १०८एमएस-1]।
उत्तर:


प्रश्न 11.
मान लीजिए कि निर्वात में विद्युत चुम्बकीय तरंग का विद्युत क्षेत्र भाग
E = {(3.1 N/C) cos[(1.8 rad/m)y + (5.4 x 10 6 rad/s)f]} है।मैं^.
(ए) प्रसार की दिशा क्या है?
(बी) तरंग दैर्ध्य एक्स क्या है?
(सी) आवृत्ति वी क्या है?
(डी) तरंग के चुंबकीय क्षेत्र भाग का आयाम क्या है?
(e) तरंग के चुंबकीय क्षेत्र भाग के लिए व्यंजक लिखिए।
उत्तर:

प्रश्न 12.
100 वाट के एक बल्ब की शक्ति का लगभग 5% दृश्य विकिरण में परिवर्तित हो जाता है। दृश्य विकिरण की औसत तीव्रता क्या है?
(ए) बल्ब से 1 मीटर की दूरी पर?
(बी) 10 मीटर की दूरी पर?
मान लें कि विकिरण आइसोट्रोपिक रूप से उत्सर्जित होता है और परावर्तन की उपेक्षा करता है।
उत्तर:

प्रश्न 13.
वैद्युतचुंबकीयस्पेक्ट्रम के विभिन्न भागों के लिए अभिलक्षणिक तापमान परास प्राप्त करने के लिएसूत्रmT =029 cm K का

प्रयोग करें। आपको जो नंबर मिलते हैं, वे आपको क्या बताते हैं? उत्तर: ये संख्याएं हमें स्पेक्ट्रम के विभिन्न भागों को प्राप्त करने के लिए आवश्यक तापमान की सीमा बताती हैं। उदाहरण के लिए, 1 माइक्रोन की तरंग दैर्ध्य प्राप्त करने के लिए, 2900 के तापमान की आवश्यकता होती है।
प्रश्न 14.
भौतिकी के विभिन्न संदर्भों में विद्युत चुम्बकीय विकिरणों से जुड़ी कुछ प्रसिद्ध संख्याएँ नीचे दी गई हैं। विद्युत चुम्बकीय वर्णक्रम के उस भाग का उल्लेख कीजिए जिससे प्रत्येक संबंधित है।
(ए) 21 सेमी (अंतरतारकीय अंतरिक्ष में परमाणु हाइड्रोजन द्वारा उत्सर्जित तरंग दैर्ध्य)।
(बी) १०५७ मेगाहर्ट्ज (हाइड्रोजन में दो करीबी ऊर्जा स्तरों से उत्पन्न होने वाली विकिरण की आवृत्ति; लैम्ब शिफ्ट के रूप में जाना जाता है।)
(सी) २.७ के (आइसोट्रोपिक विकिरण से जुड़ा तापमान सभी अंतरिक्ष को भरता है-जिसे ‘बिग- का अवशेष माना जाता है- ब्रह्मांड की उत्पत्ति।)
(डी) 5890 Å-5896 (सोडियम की दोहरी रेखाएं)
(ई) 14.4 केवी [57Fe नाभिकमें एक विशेष संक्रमण की ऊर्जाएक प्रसिद्ध उच्च-रिज़ॉल्यूशन स्पेक्ट्रोस्कोपिक विधि (मॉसबॉयर स्पेक्ट्रोस्कोपी) से जुड़ी है। ।]
उत्तर:
(ए) रेडियो तरंगें (लघु-तरंग दैर्ध्य अंत)
(बी) रेडियो तरंगें (लघु-तरंग दैर्ध्य अंत)
(सी)

(डी) दिया गया तरंगदैर्ध्य 10 -7 मीटर यानी दृश्य विकिरण (पीला प्रकाश) के क्रम का है
प्रश्न 15.
निम्नलिखित प्रश्नों के उत्तर दीजिए :
- लंबी दूरी के रेडियो प्रसारण शॉर्टवेव बैंड का उपयोग करते हैं। क्यों? (सीबीएसई 2005)
- लंबी दूरी के टीवी प्रसारण के लिए उपग्रहों का उपयोग करना आवश्यक है। क्यों? (सीबीएसई 2005)
- ऑप्टिकल और रेडियो टेलीस्कोप जमीन पर बने होते हैं लेकिन एक्स-रे खगोल विज्ञान केवल पृथ्वी की परिक्रमा करने वाले उपग्रहों से ही संभव है। क्यों? (सीबीएसई 2009)
- समताप मंडल के शीर्ष पर छोटी ओजोन परत मानव अस्तित्व के लिए महत्वपूर्ण है। क्यों ? (सीबीएसई २००५, २००९)
- यदि पृथ्वी पर वायुमंडल नहीं होता, तो क्या इसकी औसत सतह का तापमान अभी की तुलना में अधिक या कम होता?
- कुछ वैज्ञानिकों ने भविष्यवाणी की है कि पृथ्वी पर एक वैश्विक परमाणु युद्ध के बाद एक भीषण परमाणु सर्दी होगी’ जिसका पृथ्वी पर जीवन पर विनाशकारी प्रभाव पड़ेगा। इस भविष्यवाणी का आधार क्या हो सकता है? (सीबीएसई 1995)
उत्तर:
- आयनमंडल इन बैंडों में तरंगों को दर्शाता है।
- टेलीविजन सिग्नल> 30 मेगाहर्ट्ज के होते हैं जो आयनमंडल में प्रवेश करते हैं। इसलिए परावर्तन उपग्रहों द्वारा प्रभावित होता है।
- वातावरण एक्स-रे को अवशोषित करता है। जबकि दृश्यमान और रेडियो तरंगें इसमें प्रवेश कर सकती हैं।
- यह सूर्य से पराबैंगनी विकिरण को अवशोषित करता है और इसे पृथ्वी की सतह तक पहुंचने से रोकता है और जीवन को नुकसान पहुंचाता है।
- पृथ्वी का तापमान कम होगा क्योंकि वायुमंडल का ग्रीनहाउस प्रभाव अनुपस्थित होगा।
- वैश्विक परमाणु युद्ध से उत्पन्न बादल शायद आकाश के बड़े हिस्से को कवर कर लेंगे, जिससे सौर प्रकाश को दुनिया के कई हिस्सों तक पहुंचने से रोका जा सकेगा। इससे ‘सर्दी’ हो जाएगी। जिसके विरुद्ध पृथ्वी पर जीवन सहन नहीं कर सकता।
हम उम्मीद करते हैं कि एनसीईआरटी सोलूशन्स क्लास 12 भौतिकी चैप्टर 8 विद्युत चुम्बकीय तरंगें आपके लिए मददगार साबित होंगे। यदि आपके पास एनसीईआरटी सोलूशन्स क्लास 12 भौतिकी चैप्टर 8 इलेक्ट्रोमैग्नेटिक वेव्स के बारे में कोई प्रश्न हैं, तो नीचे कमेंट करें और हम आपसे जल्द से जल्द संपर्क करेंगे।
