कक्षा 12 भौतिकी अध्याय 7 के लिए एनसीईआरटी समाधान कक्षा 12 भौतिकी के लिए एनसीईआरटी समाधान का हिस्सा हैं । यहां हमने दिया है। NCERT Solutions for Class 12 Physics Chapter 7 प्रत्यावर्ती धारा
NCERT Solutions for Class 12 Physics Chapter 7 Alternating Current
| तख़्ता | सीबीएसई |
| पाठयपुस्तक | NCERT |
| कक्षा | कक्षा 12 |
| विषय | भौतिक विज्ञान |
| अध्याय | अध्याय 7 |
| अध्याय का नाम | प्रत्यावर्ती धारा |
| हल किए गए प्रश्नों की संख्या | 26 |
| श्रेणी | NCERT Solutions |
प्रश्न 1.
एक १०० का प्रतिरोधक २२० वोल्ट, ५० हर्ट्ज़ एसी आपूर्ति से जुड़ा है।
(ए) सर्किट में करंट का rms मान क्या है?
(बी) पूरे चक्र में खपत की गई शुद्ध शक्ति क्या है?
उत्तर:

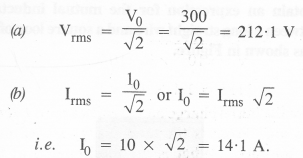
प्रश्न 2.
(ए) एसी आपूर्ति की चोटी वोल्टेज 300 वी है। आरएमएस वोल्टेज क्या है?
(बी) एक एसी सर्किट में करंट का rms मान १० A है। पीक करंट क्या है?
उत्तर:

प्रश्न 3.
एक 44 mH प्रारंभ करनेवाला 220 V, 50 Hz ac आपूर्ति से जुड़ा है। परिपथ में धारा का rms मान ज्ञात कीजिए।
उत्तर:
यहाँप्रतिघातXL= 2 v L = 2Π X 50 x 44 x 10-3

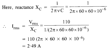
प्रश्न 4।
एक 60 μF संधारित्र 110 V, 60 Hz ac आपूर्ति से जुड़ा है। परिपथ में धारा का RMS मान ज्ञात कीजिए।
उत्तर:

प्रश्न ५.
अभ्यास ७.३ और ७.४ में, एक पूरे चक्र में प्रत्येक परिपथ द्वारा अवशोषित शुद्ध शक्ति क्या है? अपना जवाब समझाएं।
उत्तर:
एक आदर्श प्रारंभ करनेवाला या संधारित्र के मामले में, कोई बिजली हानि नहीं होती है।
प्रश्न 6. L =2.0 H, C = 32 μF और R = 10 वाले श्रेणी LCR परिपथ
की गुंजयमान आवृत्ति ωrज्ञात कीजिए। इस सर्किट का क्यू-वैल्यू क्या है?
उत्तर:

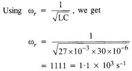
प्रश्न 7.
एक आवेशित 30 μF संधारित्र एक 27 mil प्रेरक से जुड़ा है। सर्किट के मुक्त दोलनों की कोणीय आवृत्ति क्या है?
उत्तर:

प्रश्न 8.
मान लीजिए अभ्यास 7.7 में संधारित्र पर प्रारंभिक आवेश 6 mC है। प्रारंभ में परिपथ में संचित कुल ऊर्जा कितनी है? बाद के समय में कुल ऊर्जा कितनी होती है?
उत्तर:
![]()

बाद के समय में, संधारित्र और प्रारंभ करनेवाला के बीच ऊर्जा साझा की जाती है, हालांकि, कुल ऊर्जा समान रहती है, बशर्ते कि ऊर्जा का कोई नुकसान न हो।
प्रश्न 9.
R = 20 , L = 1.5 H और C = 35 μF के साथ एक श्रृंखला LCR सर्किट एक चर-आवृत्ति 200 V ac आपूर्ति से जुड़ा है। जब आपूर्ति की आवृत्ति परिपथ की प्राकृतिक आवृत्ति के बराबर हो जाती है, तो एक पूर्ण चक्र में परिपथ को हस्तांतरित औसत शक्ति क्या है?
उत्तर:
प्राकृतिक आवृत्ति पर

प्रश्न 10.
एक रेडियो MW ब्रॉडकास्ट बैंड के एक हिस्से की फ़्रीक्वेंसी रेंज को ट्यून कर सकता है: (800 kHz से 1200 kHz)। यदि इसके एलसी सर्किट में 200 पीएच का प्रभावी इंडक्शन है, तो इसके वेरिएबल कैपेसिटर की रेंज क्या होनी चाहिए?
[संकेत। ट्यूनिंग के लिए, प्राकृतिक आवृत्ति यानी, एलसी सर्किट के लिए मुक्त दोलनों की आवृत्ति रेडियो तरंग की आवृत्ति के बराबर होनी चाहिए।]
उत्तर:

इस प्रकार, चर संधारित्र की सीमा 88 पीएफ से 198 पीएफ होनी चाहिए।
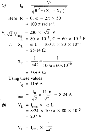
प्रश्न 11.
चित्र 230 V स्रोत की चर आवृत्ति से जुड़े एक श्रृंखला LCR सर्किट को दर्शाता है। एल = 5.0 एच, सी = 80 μF, आर = 40 सीएल।

(ए) स्रोत आवृत्ति निर्धारित करें जो सर्किट को अनुनाद में चलाती है।
(बी) सर्किट के प्रतिबाधा और वर्तमान के आयाम को अनुनाद आवृत्ति पर प्राप्त करें।
(सी) सर्किट के तीन तत्वों में आरएमएस संभावित बूंदों का निर्धारण करें। दिखाएं कि एलसी संयोजन में संभावित गिरावट अनुनाद आवृत्ति पर शून्य है। (सीबीएसई 1994, 1998, 2006)
उत्तर:
(ए)गुंजयमान कोणीय आवृत्ति,

प्रश्न 12.
एक LC परिपथ में एक 20 mH प्रारंभ करनेवाला और एक 50 μF संधारित्र होता है जिसका प्रारंभिक आवेश 10 mC होता है। सर्किट का प्रतिरोध नगण्य है। मान लीजिए कि परिपथ के बंद होने का क्षण t = 0 है।
(a) प्रारंभ में कुल कितनी ऊर्जा संचित है? क्या यह LC दोलनों के दौरान संरक्षित है?
(बी) सर्किट की प्राकृतिक आवृत्ति क्या है?
(सी) ऊर्जा किस समय संग्रहीत की जाती है:
(i) पूरी तरह से विद्युत (यानी, संधारित्र में संग्रहीत)?
(ii) पूरी तरह से चुंबकीय (यानी, प्रारंभ करनेवाला में संग्रहीत)?
(डी) कुल ऊर्जा को प्रारंभ करनेवाला और संधारित्र के बीच समान रूप से किस समय साझा किया जाता है?
(ई) यदि सर्किट में एक रोकनेवाला डाला जाता है, तो अंततः कितनी ऊर्जा गर्मी के रूप में समाप्त हो जाती है? (सीबीएसई सैंपल पेपर 1998)
उत्तर:
(ए) कुल प्रारंभिक ऊर्जा



(ई) 1 जे की कुल प्रारंभिक ऊर्जा प्रतिरोधी में जूल के ताप प्रभाव के कारण गर्मी के रूप में खो जाएगी।
प्रश्न 13.
इंडक्शन 0.50 एच और प्रतिरोध 100 का एक कॉइल 240 वी, 50 हर्ट्ज एसी आपूर्ति से जुड़ा हुआ है।
(ए) कुंडल में अधिकतम धारा क्या है?
(बी) वोल्टेज अधिकतम और वर्तमान अधिकतम के बीच का समय अंतराल क्या है?
उत्तर:

![]()
प्रश्न 14. प्रश्न
7.13 में उत्तर (ए) से (बी) प्राप्त करें यदि सर्किट उच्च आवृत्ति आपूर्ति (240 वी, 10 किलोहर्ट्ज़) से जुड़ा है। इसलिए, इस कथन की व्याख्या करें कि बहुत अधिक आवृत्ति पर, एक सर्किट में एक प्रारंभ करनेवाला लगभग एक खुले सर्किट के बराबर होता है। स्थिर-अवस्था के बाद एक डीसी सर्किट में एक प्रेरक कैसे व्यवहार करता है?
उत्तर:
दी गई उच्च आवृत्ति के लिए, = 2 v = 2 Π x 10 4 rad s -1
I 0, इस मामले में, बहुत छोटा है, इसलिए यह निष्कर्ष निकाला जा सकता है कि उच्च आवृत्तियों पर एक प्रारंभ करनेवाला एक खुले सर्किट की तरह व्यवहार करता है।
एक स्थिर डीसी सर्किट में v = 0, इसलिए प्रारंभ करनेवाला एक साधारण कंडक्टर के रूप में कार्य करता है।
प्रश्न 15.
एक ४० प्रतिरोध के साथ श्रृंखला में एक १०० μF संधारित्र ११० वी, ६० हर्ट्ज आपूर्ति से जुड़ा है।
(ए) सर्किट में अधिकतम वर्तमान क्या है?
(बी) वर्तमान अधिकतम और वोल्टेज अधिकतम के बीच का समय अंतराल क्या है?
उत्तर:


प्रश्न 16.
अभ्यास 7.15 में (ए) और (बी) के उत्तर प्राप्त करें यदि सर्किट 110 वी, 12 किलोहर्ट्ज़ आपूर्ति से जुड़ा है। इसलिए, इस कथन की व्याख्या करें कि एक संधारित्र बहुत उच्च आवृत्तियों पर एक कंडक्टर है। इस व्यवहार की तुलना स्थिर-अवस्था के बाद डीसी सर्किट में संधारित्र के साथ करें।
उत्तर

एम्बेड = “सत्य”> या n उच्च आवृत्ति पर लगभग शून्य है। भाग (ए) में सी शब्द उच्च आवृत्ति पर नगण्य है इसलिए यह एक प्रतिरोधी की तरह कार्य करता है। एक स्थिर डीसी के लिए हमारे पास वी पसंद है
प्रश्न 17.
स्रोत आवृत्ति को श्रृंखला LCR परिपथ की अनुनादी आवृत्ति के बराबर रखते हुए, यदि तीन तत्व हैं। L, C, और R को समानांतर में व्यवस्थित किया गया है, दिखाएँ कि समानांतर LCR सर्किट में कुल करंट इस आवृत्ति पर न्यूनतम है। इस आवृत्ति के लिए व्यायाम 7.11 में निर्दिष्ट तत्वों और स्रोत के लिए सर्किट की प्रत्येक शाखा में वर्तमान rms मान प्राप्त करें।
उत्तर:
समानांतर LCR सर्किट के मामले में, प्रतिबाधा किसके द्वारा दी जाती है,


प्रश्न 18.
एक सर्किट जिसमें 80 mF प्रारंभ करनेवाला और एक 60 μF संधारित्र श्रृंखला में होता है, 230 V, 50 Hz आपूर्ति से जुड़ा होता है। सर्किट का प्रतिरोध नगण्य है।
(ए) वर्तमान आयाम और आरएमएस मान प्राप्त करें।
(बी) प्रत्येक तत्व में संभावित बूंदों के आरएमएस मूल्य प्राप्त करें।
(सी) प्रारंभ करनेवाला को हस्तांतरित औसत शक्ति क्या है?
(डी) संधारित्र को हस्तांतरित औसत शक्ति क्या है?
(ई) सर्किट द्वारा अवशोषित कुल औसत शक्ति क्या है?
[‘औसत’ का अर्थ है ‘एक चक्र में औसत’।]
उत्तर:


प्रश्न 19.
मान लीजिए अभ्यास 7.18 में परिपथ का प्रतिरोध 15 है। सर्किट के प्रत्येक तत्व को हस्तांतरित औसत शक्ति और अवशोषित कुल शक्ति प्राप्त करें।
उत्तर:

प्रश्न 20.
एल = 0.12 एच, सी = 480 एनएफ, आर = 23 के साथ एक श्रृंखला एलसीआर सर्किट 230 वी परिवर्तनीय आवृत्ति आपूर्ति से जुड़ा हुआ है।
(ए) स्रोत आवृत्ति क्या है जिसके लिए वर्तमान आयाम अधिकतम है। यह अधिकतम मान प्राप्त करें।
(बी) स्रोत आवृत्ति क्या है जिसके लिए सर्किट द्वारा अवशोषित औसत शक्ति अधिकतम है। इस अधिकतम शक्ति का मूल्य प्राप्त करें।
(c) स्रोत की किन आवृत्तियों के लिए परिपथ में स्थानांतरित शक्ति गुंजयमान आवृत्ति पर आधी शक्ति है? इन आवृत्तियों पर वर्तमान आयाम क्या है?
(डी) दिए गए सर्किट का क्यू-फैक्टर क्या है? (सीबीएसई 1992)
उत्तर:


प्रश्न 21।
एल = 3.0 एच, सी = 27 μF, और आर = 7.4 के साथ एक श्रृंखला एलसीआर सर्किट के गुंजयमान आवृत्ति और क्यू-कारक प्राप्त करें। सर्किट की अनुनाद की तीक्ष्णता में सुधार करने के लिए इसकी ‘अधिकतम आधी चौड़ाई’ को 2 के कारक से कम करना वांछित है। एक उपयुक्त तरीका सुझाएं।
उत्तर:

प्रश्न 22.
निम्नलिखित प्रश्नों के उत्तर दें:
(ए) किसी भी एसी सर्किट में, सर्किट के श्रृंखला तत्वों में तात्कालिक वोल्टेज के बीजगणितीय योग के बराबर तात्कालिक वोल्टेज लगाया जाता है? क्या आरएमएस वोल्टेज के लिए भी यही सच है?
(बी) एक संधारित्र का उपयोग प्रेरण कॉइल के प्राथमिक सर्किट में किया जाता है।
(सी) एक लागू वोल्टेज सिग्नल में एक डीसी वोल्टेज का सुपरपोजिशन और उच्च आवृत्ति का एसी वोल्टेज होता है। सर्किट में एक प्रारंभ करनेवाला और श्रृंखला में एक संधारित्र होता है। दिखाएँ कि डीसी सिग्नल सी के पार और एसी सिग्नल एल के पार दिखाई देगा।
(डी) एक दीपक के साथ श्रृंखला में एक चोक कॉइल एक डीसी लाइन से जुड़ा है। दीया चमकता हुआ दिखाई देता है। चोक में लोहे की कोर लगाने से दीपक की चमक में कोई परिवर्तन नहीं होता है। यदि कनेक्शन एक एसी लाइन से है तो संबंधित अवलोकनों की भविष्यवाणी करें।
(ई) एसी मेन्स के साथ फ्लोरोसेंट ट्यूब के उपयोग में चोक कॉइल की आवश्यकता क्यों है? हम चोक कॉइल के बजाय एक साधारण रेसिस्टर का उपयोग क्यों नहीं कर सकते हैं?
उत्तर:
(ए) हां, लागू तात्कालिक वोल्टेज सर्किट के श्रृंखला तत्वों में तात्कालिक वोल्टेज के बीजगणितीय योग के बराबर है। ऐसा इसलिए है क्योंकि विभिन्न तत्वों में वोल्टेज चरण में नहीं हैं।
यह आरएमएस वोल्टेज के लिए सही नहीं है। ऐसा इसलिए है क्योंकि विभिन्न तत्वों में आरएमएस वोल्टेज एक दूसरे के साथ चरण में नहीं हैं।
(बी) ब्रेक पर, एक बड़ा प्रेरित ईएमएफ उत्पन्न होता है। यदि संधारित्र जुड़ा नहीं है, तो स्पार्किंग होगी। लेकिन जब संधारित्र का उपयोग किया जाता है, तो ब्रेक पर उत्पन्न बड़े प्रेरित ईएमएफ का उपयोग संधारित्र को चार्ज करने में किया जाता है और कोई स्पार्किंग नहीं होती है।
(सी)

डीसी के लिए, एक्स एल = 0, इसलिए, एक्स एल = 0 और एक्स सी = oo। इसलिए, संधारित्र के आर-पार dc संकेत दिखाई देता है। उच्च आवृत्ति ac, X L → उच्च और X c → 0 के लिए। इसलिए, प्रारंभ करनेवाला के पार ac संकेत दिखाई देता है।
(डी) जब एक दीपक के साथ श्रृंखला में एक चोक कॉइल एक डीसी लाइन से जुड़ा होता है, तो एल का वर्तमान के स्थिर मूल्य पर कोई प्रभाव नहीं पड़ता है। इसलिए, चोक में लोहे की कोर डालने से दीपक की चमक प्रभावित नहीं होती है। एसी लाइन पर चोक कॉइल के प्रतिबाधा के कारण दीपक मंद चमकेगा। लोहे की कोर डालने पर दीपक की चमक और कम हो जाएगी, जिससे चोक कॉइल की प्रतिबाधा बढ़ जाती है।
(ई) चोक कॉइल का उपयोग करंट को कम करने के लिए किया जाता है। चूंकि इसका पावर फैक्टर शून्य है, यह बिना बिजली बर्बाद किए करंट को कम कर देता है। यदि चोक कॉइल के बजाय एक साधारण अवरोधक का उपयोग किया जाता है, तो फीट गर्मी के रूप में बिजली बर्बाद कर देगा।
प्रश्न 23.
एक पावर ट्रांसमिशन लाइन एक स्टेप-डाउन ट्रांसफॉर्मर को 2300 V पर इनपुट पावर खिलाती है, जिसकी प्राथमिक वाइंडिंग 4000 टर्न होती है। 230 V पर आउटपुट पावर प्राप्त करने के लिए सेकेंडरी में फेरों की संख्या कितनी होनी चाहिए? (सीबीएसई 1997)
उत्तर:

प्रश्न २४.
एक जलविद्युत ऊर्जा संयंत्र में, जल दाब शीर्ष ३०० मीटर की ऊंचाई पर होता है और उपलब्ध जल प्रवाह १०० मीटर३एस-1 होता है। यदि टर्बाइन जनरेटर की दक्षता 60% है, तो संयंत्र से उपलब्ध विद्युत शक्ति का अनुमान लगाएं (g = 9.8 ms-2)।
उत्तर:

![]()
प्रश्न 25.
220 वोल्ट पर 800 किलोवाट बिजली की मांग वाला एक छोटा शहर 440 वी पर बिजली पैदा करने वाले बिजली संयंत्र से 15 किमी दूर स्थित है। बिजली ले जाने वाली दो वायरलाइनों का प्रतिरोध 0.5 क्यू प्रति किमी है। कस्बे के एक सब-स्टेशन पर लगे 4000-220 वोल्ट के स्टेप-डाउन ट्रांसफॉर्मर के माध्यम से कस्बे को लाइन से बिजली मिलती है।
(ए) गर्मी के रूप में लाइन पावर लॉस का अनुमान लगाएं।
(बी) रिसाव के कारण नगण्य बिजली हानि मानते हुए, संयंत्र को कितनी बिजली की आपूर्ति करनी चाहिए?
(सी) संयंत्र में स्टेप-अप ट्रांसफार्मर की विशेषताएँ। (सीबीएसई सैंपल पेपर 2003)
उत्तर:

प्रश्न २६.
४०,०००-२२० वोल्ट स्टेप-डाउन ट्रांसफार्मर द्वारा पुराने ट्रांसफार्मर के प्रतिस्थापन के साथ ऊपर के रूप में एक ही अभ्यास करें (उपेक्षा, पहले की तरह, रिसाव नुकसान हालांकि यह बहुत अधिक वोल्टेज के कारण अब एक अच्छी धारणा नहीं हो सकती है ट्रांसमिशन शामिल)। इसलिए, समझाएं कि उच्च वोल्टेज संचरण को क्यों प्राथमिकता दी जाती है।
उत्तर:

हम उम्मीद करते हैं कि एनसीईआरटी सोलूशन्स क्लास 12 भौतिकी चैप्टर 7 प्रत्यावर्ती धारा आपके लिए मददगार साबित होंगे। यदि आपके पास एनसीईआरटी सोलूशन्स क्लास 12 भौतिकी चैप्टर 7 अल्टरनेटिंग करंट के बारे में कोई प्रश्न हैं, तो नीचे कमेंट करें और हम आपसे जल्द से जल्द संपर्क करेंगे।
