कक्षा 12 भौतिकी के लिए एनसीईआरटी समाधान अध्याय 6 विद्युत चुम्बकीय प्रेरण कक्षा 12 भौतिकी के लिए एनसीईआरटी समाधान का हिस्सा हैं । यहां हमने दिया है। कक्षा 12 भौतिकी अध्याय 6 विद्युतचुंबकीय प्रेरण के लिए एनसीईआरटी समाधान
NCERT Solutions for Class 12 Physics Chapter 6 Electromagnetic Induction
| तख़्ता | सीबीएसई |
| पाठयपुस्तक | NCERT |
| कक्षा | कक्षा 12 |
| विषय | भौतिक विज्ञान |
| अध्याय | अध्याय 6 |
| अध्याय का नाम | इलेक्ट्रोमैग्नेटिक इंडक्शन |
| हल किए गए प्रश्नों की संख्या | 16 |
| श्रेणी | NCERT Solutions |
प्रश्न 1.
निम्नलिखित चित्र 2(a) से (f) में वर्णित स्थितियों में प्रेरित धारा की दिशा का अनुमान लगाएं।


उत्तर:
(ए) लेन्ज़ के नियम के अनुसार, चुंबक के दक्षिणी ध्रुव की ओर कुंडल का चेहरा दक्षिणी ध्रुव का विरोध करता है। अतः इस मुख को दक्षिण ध्रुव की भाँति व्यवहार करना चाहिए। अतः धारा qrpq के अनुदिश प्रवाहित होती है।
(बी) उपरोक्त कारण के समान वर्तमान प्रवाह yzxy के साथ और prqp के साथ बहता है।
(सी) जब कॉइल सक्रिय होता है, तो सेल के साथ बढ़ती धारा पास के कॉइल में yzxy के साथ एक उलटा करंट पैदा करती है।
(d) उपरोक्त कारण के समान ही zyvz के अनुदिश धारा प्रवाहित होती है।
(e) लेन्ज के नियम से धारा xryx के अनुदिश होती है।
(च) क्षेत्र रेखाएं लूप के तल के अनुदिश होने के कारण कोई प्रेरित धारा नहीं होती है।
प्रश्न 2.
चित्र द्वारा वर्णित स्थितियों में प्रेरित धारा की दिशा निर्धारित करने के लिए लेन्ज़ के नियम का उपयोग करें:
(ए)अनियमित आकार का एक तार एक गोलाकार आकार में बदल जाता है;
(बी)एक गोलाकार लूप एक संकीर्ण सीधे तार में विकृत किया जा रहा है।


उत्तर:
जब एक अनियमित आकार का तार एक वृत्ताकार (लूप) में बदल जाता है तो लूप से जुड़ा चुंबकीय प्रवाह क्षेत्र में वृद्धि के कारण बढ़ जाता है) अनियमित आकार। प्रेरित ईएमएफ इस तरह की दिशा में करंट प्रवाहित करेगा, जिससे लूप बनाने वाला तार सभी तरफ से अंदर की ओर खींचा जाएगा। इसके लिए आवश्यक है कि करंट प्रवाहित हो।
लेन्ज़ के नियम को लागू करने से यह निष्कर्ष निकलता है कि धारा a, d, c, b, a दिशा में प्रवाहित होगी।
प्रश्न 3.
एक लंबी परिनालिका में 15 फेरे प्रति सेमी. क्षेत्रफल 2.0 सेमी2का एक छोटा लूपसोलनॉइड के अंदर अपनी धुरी के अभिलंब रखा गया है। यदि परिनालिका द्वारा प्रवाहित धारा 0.1s में 2.0 A से 4.0 A तक स्थिर रूप से परिवर्तित होती है, तो धारा के बदलते समय लूप में प्रेरित विद्युत वाहक बल क्या होगा?
उत्तर:

प्रश्न 4.
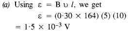
8 सेमी और 2 सेमी भुजाओं वाला एक आयताकार तार लूप, जिसमें एक छोटा सा कट s है, जो ओ.3 टी परिमाण के एकसमान चुंबकीय क्षेत्र के क्षेत्र से बाहर निकल रहा है, जो एमओपी के लिए सामान्य है। यदि लूप का वेग 1 सेमी s-2 है, तो
(ए) लंबी तरफ,
(बी) लूप की छोटी तरफसामान्य दिशा मेंईएमएफ विकसितहोता है? प्रत्येक मामले में प्रेरित वोल्टेज कितने समय तक रहता है?
उत्तर:
e = B lυ

प्रश्न 5.
एक 1.0 मीटर लंबी धातु की छड़ को 400 rad s _1 की कोणीय आवृत्ति के साथ घुमाया जाता है, जो इसके एक छोर से गुजरने वाली छड़ के सामान्य अक्ष के बारे में है। छड़ का दूसरा सिरा एक वृत्ताकार धात्विक वलय के संपर्क में है। अक्ष के समानांतर 0.5 T का एक स्थिर और एकसमान चुंबकीय क्षेत्र हर जगह मौजूद है। केंद्र और वलय के बीच विकसित ईएमएफ की गणना करें।
उत्तर:

प्रश्न 6.
त्रिज्या 8.0 सेमी और 20 घुमाव का एक गोलाकार कुंडल अपने ऊर्ध्वाधर व्यास के बारे में 500 rad s_1 की कोणीय गति के साथ 3.0 x 10 -2 परिमाण के एक समान क्षैतिज चुंबकीय क्षेत्र में घूमता है।T. कुंडल में प्रेरित अधिकतम और औसत ईएमएफ प्राप्त करें। यदि कुण्डली 10Ω प्रतिरोध का एक बंद लूप बनाती है, तो कुण्डली में धारा के अधिकतम मान की गणना कीजिए। जूल हीटिंग के कारण औसत बिजली हानि की गणना करें। यह शक्ति कहाँ से आती है?
उत्तर:

(v) बिजली के नुकसान का स्रोत बाहरी रोटर है जो कॉइल को घुमाने के लिए आवश्यक टॉर्क प्रदान करता है।
प्रश्न 7.
पूर्व से पश्चिम तक फैला हुआ 10 मीटर लंबा एक क्षैतिज सीधा तारपृथ्वी के चुंबकीय क्षेत्र के क्षैतिज घटक 0.30 x 10-4Wb m-2 केसमकोण पर5.0 ms-1की गति से गिर रहा है। (ए) तार में प्रेरित ईएमएफ का तात्कालिक मूल्य क्या है? (बी) ईएमएफ की दिशा क्या है? (सी) तार का कौन सा सिरा उच्च विद्युत क्षमता पर है? उत्तर: (बी)फ्लेमिंग के दाहिने हाथ के नियम का उपयोग करते हुए, प्रेरित ईएमएफ की दिशा पश्चिम से पूर्व की ओर होती है। (सी)चूंकि रॉड एक स्रोत के रूप में कार्य करेगा, इसलिए पश्चिमी छोर उच्च विद्युत क्षमता पर होगा।

प्रश्न 8.
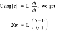
किसी परिपथ में धारा 5.0 A से 0.0 As तक गिरती है। यदि 200 V का औसत विद्युत वाहक बल प्रेरित होता है, तो परिपथ के स्व-प्रेरकत्व का अनुमान दीजिए।
उत्तर:

![]()
प्रश्न 9.
आसन्न कुण्डलियों के एक युग्म का परस्पर अधिष्ठापन 1.5 H है। यदि 0.5 s में एक कुण्डली में धारा 0 से 20 A हो जाती है, तो दूसरी कुण्डली के साथ फ्लक्स संबंध में क्या परिवर्तन होता है?
उत्तर:
dΦB= M.dl = 1.5 x (20 – 0) = 30 Wb
Question 10.
एक जेट विमान पश्चिम की ओर 1800 किमी/घंटा की गति से यात्रा कर रहा है। 25 मीटर की अवधि वाले पंख के सिरों के बीच विकसित वोल्टेज अंतर क्या है, यदि स्थान पर पृथ्वी के चुंबकीय क्षेत्र का परिमाण 5 x 10-4टी है और डुबकी कोण 30 डिग्री है?
उत्तर:

प्रश्न 11.
मान लीजिए अभ्यास 6.4 में लूप स्थिर है लेकिन चुंबकीय क्षेत्र उत्पन्न करने वाले विद्युत चुम्बक को प्रवाहित करने वाली धारा को धीरे-धीरे कम किया जाता है ताकि क्षेत्र अपने प्रारंभिक मान 0.3 T से 0.02 T s-1की दर से घट जाए। यदि कट को जोड़ दिया जाए और लूप का प्रतिरोध 1.6 हो, तो लूप द्वारा ऊष्मा के रूप में कितनी शक्ति का अपव्यय होता है? इस शक्ति का स्रोत क्या है?
उत्तर:

इस शक्ति का स्रोत बाहरी एजेंसी है जो चुंबकीय क्षेत्र में परिवर्तन लाती है।
प्रश्न 12.
12 सेमी भुजा वाला एक वर्गाकार लूप जिसकी भुजाएँ X और Y अक्षों के समानांतर हैं, धनात्मक x-दिशा में सकारात्मक z-दिशा में चुंबकीय क्षेत्र वाले वातावरण में8 cm s_1 केवेग से चलती है। क्षेत्र न तो अंतरिक्ष में एक समान है और न ही समय में स्थिर है। इसमेंऋणात्मक x-दिशा के साथ10-3T cm-1का ढाल है(अर्थात ऋणात्मक x-दिशामें एक चाल के रूपमें यह 10-3T cm-1बढ़जाता है), और यह समय के साथ घट रहा है 10-3टी एस_1की दर। लूप में प्रेरित धारा की दिशा और परिमाण ज्ञात कीजिए यदि इसका प्रतिरोध 4.50 mΩ है।
उत्तर:


प्रेरित धारा की दिशा ऐसी है कि यह लूप के साथ जुड़ने वाले चुंबकीय प्रवाह को धनात्मक 2-दिशा में बढ़ा देती है।
प्रश्न 13.
एक शक्तिशाली लाउडस्पीकर चुंबक के ध्रुवों के बीच के क्षेत्र के परिमाण को मापने के लिए वांछित है। 2 सेमी2क्षेत्र का एक छोटा फ्लैट सर्च कॉइल25 बारीकी से घाव के मोड़ के साथ, क्षेत्र की दिशा में सामान्य स्थिति में है, और फिर जल्दी से क्षेत्र क्षेत्र से छीन लिया जाता है। समान रूप से, कोई इसे अपने तल को क्षेत्र की दिशा के समानांतर लाने के लिए 90° का त्वरित मोड़ दे सकता है। कुंडली में प्रवाहित कुल आवेश (कुंडल से जुड़े बैलिस्टिक गैल्वेनोमीटर द्वारा मापा जाता है) 7.5 mC है। कुण्डली और गैल्वेनोमीटर का संयुक्त प्रतिरोध 0.50 है। चुंबक की क्षेत्र शक्ति का अनुमान लगाएं।
उत्तर

प्रश्न 14.
चित्र में एक धातु की छड़ PQ को रेल AB पर टिका हुआ दिखाया गया है और एक स्थायी चुंबक के ध्रुवों के बीच स्थित है। रेल, छड़ और चुंबकीय क्षेत्र तीन परस्पर लंबवत दिशाओं में हैं। एक गैल्वेनोमीटर G एक स्विच K के माध्यम से रेल को जोड़ता है। छड़ की लंबाई = 15 सेमी, B = 0.50 T, छड़ वाले बंद-लूप का प्रतिरोध = 9.0 mΩ। मान लें कि क्षेत्र एक समान है।

(ए) मान लीजिए कि के खुला है और रॉड को 12 सेमी -1 की गति से दिखाया गया दिशा में ले जाया गया है। प्रेरित ईएमएफ की ध्रुवता और परिमाण दें।
(बी) जब K खुला होता है तो क्या छड़ के सिरों पर अतिरिक्त चार्ज बनता है? क्या होगा यदि K बंद है?
(c) K खुला होने और छड़ एकसमान गति करने से, छड़ PQ में इलेक्ट्रॉनों पर कोई शुद्ध बल नहीं होता है, भले ही वे छड़ की गति के कारण चुंबकीय बल का अनुभव करते हैं। समझाना।
(डी) K बंद होने पर रॉड पर मंदक बल क्या है?
(ई) K बंद होने पर रॉड को उसी गति (= 12 सेमी s _1 ) पर गतिमान रखने के लिए (बाहरी एजेंट द्वारा) कितनी शक्ति की आवश्यकता होती है? K खुला होने पर कितनी शक्ति की आवश्यकता होती है?
(f) क्लोज्ड-सर्किट में ऊष्मा के रूप में कितनी शक्ति का अपव्यय होता है? इस शक्ति का स्रोत क्या है?
(छ) चलती छड़ में प्रेरित ईएमएफ क्या है यदि चुंबकीय क्षेत्र लंबवत होने के बजाय रेल के समानांतर है?
उत्तर:
यहां, बी = 0.50 टी; 1 = 15 सेमी = 15 x 10 -2 मीटर;
R = 9.0m Q = 9.0 x 10 3 fl
(a) अब, e = Bvl
यहाँ, V = 12 सेमी s -1 = 12 x 10 -2 ms -1
∴ e = 0.50 x 12 x 10- 2 x 15 x 10 2 = 9 x 10 -3 V
यदि q इलेक्ट्रॉन के रूप में आवेश है, तो छड़ में इलेक्ट्रॉनों को चुंबकीय लोरेंत्ज़ बल का अनुभव होगा– क्यू[वीमैं +बीमैं ] PQ अत: छड़ का सिरा P धनात्मक हो जाएगा और सिरा Q ऋणात्मक हो जाएगा।
(बी) जब स्विच के खुला होता है, तो इलेक्ट्रॉन अंत क्यू पर इकट्ठा होता है। इसलिए, अंत में अतिरिक्त परिवर्तन बनाया जाता है। हालांकि, जब स्विच के बंद हो जाता है, तो अंत क्यू पर संचित चार्ज सर्किट के माध्यम से बहता है ,
(सी) इलेक्ट्रॉन पर चुंबकीय लोरेंत्ज़ बल क्रमशः पी और क्यू पर सकारात्मक और नकारात्मक चार्ज जमा होने के कारण दोनों सिरों पर स्थापित इलेक्ट्रॉनिक क्षेत्र के कारण इलेक्ट्रॉनिक बल द्वारा रद्द कर दिया जाता है।
(डी) रिटार्डिंग फोर्स, एफ = बीआईएल = बीइआर

प्रश्न 15.
एक एयर-कोरेड सोलनॉइड जिसकी लंबाई 30 सेमी, क्रॉस-सेक्शन 25 सेमी2का क्षेत्रफलऔर 500 घुमावों की संख्या है, में 2.5 ए की धारा होती है।10-3एस केथोड़े समय में करंट अचानक बंद हो जाता है। सर्किट में खुले स्विच के सिरों पर प्रेरित औसत बैक ईएमएफ कितना है? परिनालिका के सिरों के निकट चुंबकीय क्षेत्र में परिवर्तन पर ध्यान न दें।
उत्तर:

प्रश्न 16.
(ए) एक लंबे सीधे तार और पक्ष के एक वर्ग लूप के बीच पारस्परिक अधिष्ठापन के लिए एक अभिव्यक्ति प्राप्त करें जैसा कि चित्र

(बी)में दिखाया गया हैअब मान लें कि सीधे तार में 50 ए की धारा होती है और लूप को स्थानांतरित किया जाता है एक स्थिर वेग के साथ दाहिनी ओर, = 10 m/s। लूप में प्रेरित ईएमएफ की गणना उस समय करें जब x = ०.२ मीटर। a = 0.1 m लें और मान लें कि लूप का प्रतिरोध बड़ा है।
उत्तर:
(ए)धारावाही तार से t दूरी पर मोटाई dt के तार के एक छोटे से हिस्से पर विचार करें। तब इस भाग द्वारा अनुभव की गई चुंबकीय क्षेत्र शक्ति



प्रश्न 17.
द्रव्यमान M और त्रिज्या R के एक पहिये के रिम पर एक समान रूप से एक लाइन चार्ज X प्रति यूनिट लंबाई दर्ज की गई है। पहिया में हल्के गैर-संचालक प्रवक्ता हैं और अपनी धुरी के बारे में घर्षण के बिना घूमने के लिए स्वतंत्र हैं (चित्र।) एक वर्दी चुंबकीय क्षेत्र रिम के भीतर एक वृत्ताकार क्षेत्र में फैला हुआ है। यह

किसकेद्वारा दिया जाताहै क्षेत्र के अचानक बंद होने के बाद पहिए का कोणीय वेग क्या है?

उत्तर:
चुंबकीय क्षेत्र में परिवर्तन किसके द्वारा दिया जाता है,


हम उम्मीद करते हैं कि एनसीईआरटी सोलूशन्स क्लास 12 भौतिकी चैप्टर 6 विद्युतचुंबकीय प्रेरण आपके लिए मददगार साबित होंगे। यदि आपके पास कक्षा 12 भौतिकी अध्याय 6 विद्युत चुम्बकीय प्रेरण के लिए एनसीईआरटी समाधान के बारे में कोई प्रश्न है, तो नीचे एक टिप्पणी छोड़ दो और हम जल्द से जल्द आपके पास वापस आएंगे।
