Library

Open Source Online Library

Library

Open Source Online Library

कक्षा 12 भौतिकी अध्याय 5 चुंबकत्व और पदार्थ के लिए एनसीईआरटी समाधान

कक्षा 12 भौतिकी के लिए एनसीईआरटी समाधान अध्याय 5 चुंबकत्व और पदार्थ कक्षा 12 भौतिकी के लिए एनसीईआरटी समाधान का हिस्सा हैं । यहां हमने दिया है। कक्षा 12 भौतिकी अध्याय 5 चुंबकत्व और पदार्थ के लिए एनसीईआरटी समाधान

NCERT Solutions For Class 12 Physics Chapter 5 Magnetism and Matter

तख़्ता सीबीएसई
पाठयपुस्तक NCERT
कक्षा कक्षा 12
विषय भौतिक विज्ञान
अध्याय अध्याय 5
अध्याय का नाम चुंबकत्व और पदार्थ
हल किए गए प्रश्नों की संख्या 25
श्रेणी NCERT Solutions

प्रश्न 1.
पृथ्वी के चुंबकत्व के संबंध में निम्नलिखित प्रश्नों के उत्तर दीजिए :
(a) एक सदिश को इसके विनिर्देशन के लिए तीन मात्राओं की आवश्यकता होती है। पारंपरिक रूप से पृथ्वी के चुंबकीय क्षेत्र को निर्दिष्ट करने के लिए उपयोग की जाने वाली तीन स्वतंत्र मात्राओं के नाम बताइए।
(बी) दक्षिण भारत में किसी स्थान पर डुबकी का कोण लगभग 18 डिग्री है। क्या आप ब्रिटेन में बड़े या छोटे डिप एंगल की उम्मीद करेंगे?       (
सी.
(डी) भू-चुंबकीय उत्तरी या दक्षिणी ध्रुव पर स्थित होने पर ऊर्ध्वाधर विमान में घूमने के लिए एक कंपास किस दिशा में इंगित करेगा? (सीबीएसई 1995)
(ई) पृथ्वी का क्षेत्र, यह दावा किया जाता है, इसके केंद्र में स्थित
चुंबकीय क्षण 8 x 10 22 JT _1 के द्विध्रुवीय के कारण लगभग क्षेत्र का अनुमान लगाता है। किसी तरह इस संख्या के परिमाण के क्रम की जाँच करें।
(च) भूवैज्ञानिकों का दावा है कि मुख्य चुंबकीय एनएस ध्रुवों के अलावा, पृथ्वी की सतह पर विभिन्न दिशाओं में उन्मुख कई स्थानीय ध्रुव हैं। ऐसा बिल्कुल कैसे संभव है?
उत्तर:

(ए) चुंबकीय तत्व

  • झुकाव
  • डुबकी और
  • क्षैतिज तीव्रता

(बी) ब्रिटेन में ग्रेटर (यह लगभग 70 डिग्री है), क्योंकि ब्रिटेन चुंबकीय उत्तरी ध्रुव के करीब है।

(सी) पृथ्वी के चुंबकत्व के कारण बी की क्षेत्र रेखाएं जमीन से निकलती प्रतीत होती हैं।

(d) कम्पास की सुई केवल क्षैतिज तल में चल सकती है। चूंकि क्षेत्र पूरी तरह से लंबवत है, सुई द्वारा कोई दिशा नहीं दिखाई जाती है।
(ई) चुंबकीय द्विध्रुव की भूमध्य रेखा पर चुंबकीय क्षेत्र के लिए सूत्र का उपयोग करना यानी
एनसीईआरटी समाधान कक्षा 12 भौतिकी अध्याय 5 चुंबकत्व और पदार्थ 1
यह मान पृथ्वी के चुंबकीय क्षेत्र के परिमाण के क्रम को बताता है।
(च) भूवैज्ञानिकों का ऐसा सोचना सही है क्योंकि पृथ्वी के चुंबकीय क्षेत्र को एकल द्विध्रुवीय क्षेत्र मानना ​​एक सन्निकटन है। चुंबकीय खनिज जमा को पृथ्वी पर स्थानीय द्विध्रुव के रूप में माना जा सकता है।

प्रश्न 2.
निम्नलिखित प्रश्नों के उत्तर दीजिए :
(a) पृथ्वी का चुंबकीय क्षेत्र अंतरिक्ष में एक बिंदु से दूसरे बिंदु पर बदलता रहता है। क्या यह भी समय के साथ बदलता है? यदि हां, तो यह किस समय के पैमाने में पर्याप्त रूप से परिवर्तित होता है ?
(बी) पृथ्वी के मूल में लोहा होता है। फिर भी भूवैज्ञानिक इसे पृथ्वी के चुंबकत्व का स्रोत नहीं मानते हैं। क्यों ?
(सी) पृथ्वी के कोर के बाहरी संचालन क्षेत्रों में चार्ज धाराओं को पृथ्वी के चुंबकत्व के लिए जिम्मेदार माना जाता है। इन धाराओं को बनाए रखने के लिए ‘बैटरी’ (अर्थात ऊर्जा का स्रोत) क्या हो सकता है?
(d) पृथ्वी ने अपने ४ से ५ अरब वर्षों के इतिहास के दौरान कई बार अपने क्षेत्र की दिशा उलटी भी हो सकती है। इतने दूर के अतीत में भूवैज्ञानिक पृथ्वी के क्षेत्र के बारे में कैसे जान सकते हैं?
(ई) पृथ्वी का क्षेत्र बड़ी दूरी (लगभग 30,000 किमी से अधिक) पर अपने द्विध्रुवीय आकार से काफी हद तक अलग हो जाता है। इस विकृति के लिए कौन सी एजेंसियां ​​​​जिम्मेदार हो सकती हैं? (च) इंटरस्टेलर स्पेस में १० १२ टी के क्रम का एक अत्यंत कमजोर चुंबकीय क्षेत्र है । क्या ऐसा कमजोर क्षेत्र किसी महत्वपूर्ण परिणाम का हो सकता है? समझाना।
उत्तर:

(ए) हाँ, यह समय के साथ बदलता है। कुछ सौ वर्षों के बाद, पृथ्वी के चुंबकीय क्षेत्र में एक महत्वपूर्ण परिवर्तन होता है।

(बी) पृथ्वी के अंदर का तापमान इतना अधिक है कि लोहे के लिए चुंबक के रूप में रहना और चुंबकीय क्षेत्र के स्रोत के रूप में कार्य करना असंभव है। पृथ्वी के कारण चुंबकीय क्षेत्र पिघली हुई अवस्था में लोहे में प्रेरित परिसंचारी विद्युत धाराओं और पृथ्वी के अंदर अन्य संवाहक सामग्री के कारण माना जाता है।

(सी) एक संभावित व्याख्या रेडियोधर्मिता की घटना हो सकती है।

(डी) ठोसकरण के दौरान कुछ चट्टानों में रॉक चुंबकत्व/पृथ्वी के चुंबकीय क्षेत्र का विश्लेषण दर्ज किया जाता है, (साप्ताहिक के माध्यम से) भू-चुंबकीय इतिहास के लिए सुराग प्रदान करता है।

(ई) बड़ी दूरी पर, पृथ्वी के आयनमंडल में आयनों की गति से उत्पन्न क्षेत्रों द्वारा पृथ्वी के चुंबकीय क्षेत्र को संशोधित किया जाता है।

(च) अंतरतारकीय दूरियों जैसी बहुत-बहुत बड़ी दूरी पर छोटे क्षेत्र कॉस्मिक किरणों जैसे आवेशित कणों को महत्वपूर्ण रूप से प्रभावित कर सकते हैं। छोटी दूरी के लिए, छोटे क्षेत्रों के लिए विक्षेप ध्यान देने योग्य नहीं होते हैं लेकिन बहुत बड़ी दूरी पर विक्षेपण महत्वपूर्ण होते हैं।
एनसीईआरटी समाधान कक्षा 12 भौतिकी अध्याय 5 चुंबकत्व और पदार्थ 2 कक्षा 12 भौतिकी के लिए एनसीईआरटी समाधान अध्याय 5 चुंबकत्व और पदार्थ 2
स्पष्ट रूप से B का छोटा मान त्रिज्या R का एक बहुत बड़ा मान देता है

प्रश्न 3.
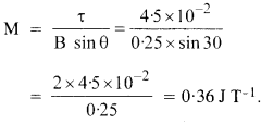
0.25 T के एकसमान बाहरी चुंबकीय क्षेत्र के साथ 30° पर अपनी धुरी के साथ रखा गया एक छोटा बार चुंबक 4.5 X 10-2J केबराबर परिमाण के एक टोक़ का अनुभव करताहै। चुंबक के चुंबकीय क्षण का परिमाण क्या है?
उत्तर:
-MB sin का प्रयोग करने पर हमें प्राप्त होता है
एनसीईआरटी समाधान कक्षा 12 भौतिकी अध्याय 5 चुंबकत्व और पदार्थ 3

प्रश्न 4.
चुंबकीय क्षण m = 0.32 JT-1काएक लघु छड़ चुंबक0.15 T के एक समान चुंबकीय क्षेत्र में रखा गया है। यदि बार क्षेत्र के तल में घूमने के लिए स्वतंत्र है, तो कौन सा अभिविन्यास इसके अनुरूप होगा (a) स्थिर, और (बी) अस्थिर संतुलन? प्रत्येक स्थिति में चुंबक की स्थितिज ऊर्जा कितनी है?
उत्तर:
एनसीईआरटी समाधान कक्षा 12 भौतिकी अध्याय 5 चुंबकत्व और पदार्थ 4

प्रश्न 5.
800 घुमावों और 2.5 x 10-4मीटर2के क्रॉस सेक्शन के एक निकट घाव वाले परिनालिका में3.0 A की धारा प्रवाहित होती है। उस अर्थ की व्याख्या करें जिसमें परिनालिका एक छड़ चुंबक की तरह कार्य करती है। इसका संबद्ध चुंबकीय क्षण क्या है?
उत्तर:
जब परिनालिका से विद्युत धारा प्रवाहित की जाती है, तो उसकी धुरी के साथ-साथ चुंबकीय क्षेत्र उत्पन्न होता है। चुंबकीय क्षेत्र रेखाएं एक छोर से निकलती हैं और दूसरे में प्रवेश करती हैं जैसे कि एक बार चुंबक के मामले में। परिनालिका के दोनों सिरे छड़ चुंबक के दो ध्रुवों के रूप में कार्य करते हैं।
यहाँ, परिनालिका में फेरों की संख्या = 800
I = 3A
A = 2.5 x 10-4m2
परिनालिका का चुंबकीय क्षण,
M = (IA) x फेरों की संख्या
= 3 x 2.5 x 10 -4 x 800
= 0.6 Am 2

प्रश्न 6.
यदि अभ्यास 5.5 में परिनालिका ऊर्ध्वाधर दिशा में घूमने के लिए स्वतंत्र है और 0.25 T का एक समान क्षैतिज चुंबकीय क्षेत्र लगाया जाता है, तो परिनालिका पर टोक़ का परिमाण क्या होता है, जब इसकी धुरी ऊर्ध्व दिशा के साथ 30° का कोण बनाती है। लागू क्षेत्र की दिशा?
उत्तर:
x = MB sin का प्रयोग करके, हम
x = 0.6 x 0.25 x sin 30
= 0.6 x 0.25 x . प्राप्त करते हैं 12
= ०.३ x ०.२५ = ०.०७५ एनएम
= ७.५ x १०-  एनएम।

प्रश्न 7.
1.5 JT-1चुंबकीय आघूर्ण का एक छड़ चुंबक0.22T के एकसमान चुंबकीय क्षेत्र की दिशा के साथ संरेखित है।
(ए) एक बाहरी टोक़ द्वारा चुंबक को चालू करने के लिए आवश्यक कार्य की मात्रा क्या है ताकि इसके चुंबकीय क्षण को संरेखित किया जा सके, (i) क्षेत्र की दिशा के लिए सामान्य, (ii) क्षेत्र की दिशा के विपरीत?
(बी) मामलों (i) और (ii) में चुंबक पर टोक़ क्या है?
उत्तर:
एनसीईआरटी समाधान कक्षा 12 भौतिकी अध्याय 5 चुंबकत्व और पदार्थ 5

प्रश्न 8.
2000 घुमावों का एक निकट घाव वाला परिनालिका और 1.6 X 10-4m2अनुप्रस्थ काट का क्षेत्रफल, जिसमें 4.0 A की धारा प्रवाहित होती है, को इसके केंद्र के माध्यम से निलंबित कर दिया जाता है जिससे यह एक क्षैतिज तल में मुड़ जाता है।
(ए) सोलेनोइड से जुड़ा चुंबकीय क्षण क्या है?
(बी) सोलेनोइड पर बल और टोक़ क्या है यदि 7.5 x 10-2टी काएक समान क्षैतिज चुंबकीय क्षेत्रसोलेनोइड की धुरी के साथ 30 डिग्री के कोण पर स्थापित किया जाता है?
उत्तर:
N =2000, A= 1.6 x 10-4m2, I = 4.0 A
(a) m = ANI = 1.6 x 10-4x 2000 x 4.0
= 1.28 Am2, अक्ष के अनुदिश

(बी) बी = 7.5 x 10 -2 टी, θ = 30 डिग्री
नेट बल = 0
τ = एमबी पाप θ = 1.28 x 7.5 x 10 -2 x पाप 30
= 0.64 x 7.5 x 10 -2
= 4.800 x 10 -2 Nm
इसकी क्रिया से परिनालिका बाह्य क्षेत्र की दिशा में आ सकती है।

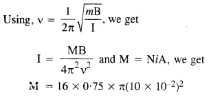
प्रश्न 9.
एक वृत्ताकार कुण्डली जिसकी 16 फेरे और त्रिज्या 10 सेमी है, जिसमें 0.75 A की धारा प्रवाहित हो रही है, अपने तल पर 5.0 x 10-2Tपरिमाण के बाह्य क्षेत्र केअभिलम्ब परटिकी हुई है। कुण्डली अपने तल में एक अक्ष के लम्बवत घूमने के लिए स्वतंत्र है। क्षेत्र की दिशा में। जब कुंडली को थोड़ा घुमाया जाता है और छोड़ा जाता है, तो यह 2.0 s_1की आवृत्ति के साथ अपने स्थिर संतुलन के बारे में दोलन करती है। घूर्णन की धुरी के बारे में कुंडल की जड़ता का क्षण क्या है?
उत्तर:
एनसीईआरटी समाधान कक्षा 12 भौतिकी अध्याय 5 चुंबकत्व और पदार्थ 6
एनसीईआरटी समाधान कक्षा 12 भौतिकी अध्याय 5 चुंबकत्व और पदार्थ 7

प्रश्न 10.
चुंबकीय मेरिडियन के समानांतर एक ऊर्ध्वाधर विमान में घूमने के लिए स्वतंत्र चुंबकीय सुई का उत्तरी सिरा क्षैतिज के साथ 22 ° नीचे की ओर इशारा करता है। उस स्थान पर पृथ्वी के चुंबकीय क्षेत्र का क्षैतिज घटक 0.35 G माना जाता है। उस स्थान पर पृथ्वी के चुंबकीय क्षेत्र का परिमाण ज्ञात कीजिए।
उत्तर:
एनसीईआरटी समाधान कक्षा 12 भौतिकी अध्याय 5 चुंबकत्व और पदार्थ 8
प्रश्न 11.
अफ्रीका में एक निश्चित स्थान पर, एक कंपास भौगोलिक उत्तर के 12° पश्चिम में इंगित करता है। चुंबकीय मध्याह्न रेखा के तल में रखे एक डुबकी वृत्त की चुंबकीय सुई का उत्तरी सिरा क्षैतिज से 60° ऊपर होता है। पृथ्वी के क्षेत्र का क्षैतिज घटक 0.16 G मापा जाता है। स्थान पर पृथ्वी के क्षेत्र की दिशा और परिमाण निर्दिष्ट करें।
उत्तर:
BH= B cosका प्रयोग करने परहमें प्राप्त होता है
एनसीईआरटी समाधान कक्षा 12 भौतिकी अध्याय 5 चुंबकत्व और पदार्थ 9

B की दिशा भौगोलिक मेरिडियन से 12° पश्चिम में है और क्षैतिज से 60° का ऊर्ध्व कोण बना रही है।

प्रश्न 12.
एक लघु छड़ चुम्बक का चुम्बकीय आघूर्ण 0.48 JT-1 है। चुंबक के केंद्र से 10 सेमी की दूरी पर चुंबक द्वारा उत्पन्न चुंबकीय क्षेत्र की दिशा और परिमाण (ए) अक्ष, (बी) चुंबक की भूमध्य रेखा (सामान्य द्विभाजक) पर दें।
उत्तर:
अक्षीय रेखा पर
एनसीईआरटी समाधान कक्षा 12 भौतिकी अध्याय 5 चुंबकत्व और पदार्थ 10

प्रश्न 13.
क्षैतिज तल में रखे एक लघु दंड चुंबक की धुरी चुंबकीय उत्तर-दक्षिण दिशा के अनुदिश संरेखित होती है। चुंबक के केंद्र से 14 सेमी की दूरी पर चुंबक की धुरी पर शून्य बिंदु पाए जाते हैं। इस स्थान पर पृथ्वी का चुंबकीय क्षेत्र 0.36 G है और नति कोण शून्य है। चुंबक के सामान्य द्विभाजक पर कुल चुंबकीय क्षेत्र चुंबक के केंद्र से अशक्त बिंदुओं (यानी, 14 सेमी) के समान दूरी पर कितना होता है? (शून्य बिंदुओं पर, चुंबक के कारण धारित पृथ्वी के चुंबकीय क्षेत्र के क्षैतिज घटक के बराबर और विपरीत होता है।)
उत्तर:
चुंबक की भूमध्य रेखा पर चुंबकीय क्षेत्र दिया जाता है।
एनसीईआरटी समाधान कक्षा 12 भौतिकी अध्याय 5 चुंबकत्व और पदार्थ 11

प्रश्न 14.
यदि अभ्यास 5.13 में छड़ चुम्बक को 180° घुमाया जाए, तो नए नल-बिंदु कहाँ स्थित होंगे?
उत्तर:
जब चुंबक को 180° के आसपास घुमाया जाता है, तो उसका दक्षिणी ध्रुव भौगोलिक दक्षिण दिशा में स्थित होता है। अत: शून्य बिंदु भूमध्य रेखा पर चुंबक के डाई केंद्र से x दूरी पर स्थित होगा।
एनसीईआरटी समाधान कक्षा 12 भौतिकी अध्याय 5 चुंबकत्व और पदार्थ 12

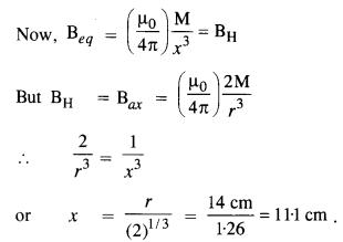
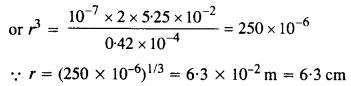
प्रश्न 15.
5.25 x 10-2JT-1चुंबकीय आघूर्ण का एक लघु दंड चुंबकपृथ्वी के क्षेत्र की दिशा के लंबवत अक्ष के साथ रखा गया है। चुम्बक के केंद्र से कितनी दूरी पर, परिणामी क्षेत्र पृथ्वी के क्षेत्र के साथ (a) इसके सामान्य द्विभाजक और (b) इसकी धुरी पर 45° झुका हुआ है। उस स्थान पर पृथ्वी के क्षेत्र का परिमाण 0.42 G दिया गया है। इसमें शामिल दूरियों की तुलना में चुंबक की लंबाई पर ध्यान न दें।
उत्तर:
सामान्य द्विभाजक
(a)मान लीजिए कि बिंदु P पर चुंबक का परिणामी चुंबकीय क्षेत्र पृथ्वी के क्षेत्र के साथ θ=45° का कोण बनाता है। इसलिए,
एनसीईआरटी समाधान कक्षा 12 भौतिकी अध्याय 5 चुंबकत्व और पदार्थ 13
एनसीईआरटी समाधान कक्षा 12 भौतिकी अध्याय 5 चुंबकत्व और पदार्थ 14
NCERT Solutions for Class 12 Physics Chapter 5 चुंबकत्व और पदार्थ 15
प्रश्न 16.
निम्नलिखित प्रश्नों के उत्तर दें:
(ए) ठंडा होने पर एक अनुचुंबकीय नमूना अधिक चुंबकीयकरण (उसी चुंबकीय क्षेत्र के लिए) क्यों प्रदर्शित करता है? (सीबीएसई 1991)
(बी) इसके विपरीत, प्रतिचुंबकत्व तापमान से लगभग स्वतंत्र क्यों है?
(सी) यदि एक टॉरॉयड अपने कोर के लिए बिस्मथ का उपयोग करता है, तो क्या कोर में क्षेत्र (थोड़ा) बड़ा होगा या (थोड़ा) कोर खाली होने से कम होगा?
(डी) क्या लौह चुंबकीय सामग्री की पारगम्यता चुंबकीय क्षेत्र से स्वतंत्र है? यदि नहीं, तो क्या यह निम्न या उच्च क्षेत्रों के लिए अधिक है?
(ई) चुंबकीय क्षेत्र रेखाएं हर बिंदु पर लौह चुंबक की सतह के लगभग हमेशा सामान्य होती हैं। (यह तथ्य स्थिर विद्युत क्षेत्र रेखाओं के प्रत्येक बिंदु पर एक कंडक्टर की सतह के सामान्य होने के अनुरूप है)। क्यों?
(च) क्या किसी अनुचुम्बकीय नमूने का अधिकतम संभव चुम्बकीकरण परिमाण के उसी क्रम का होगा जो लौह चुम्बक का चुम्बकत्व है?
उत्तर:
(ए) ठंडा होने पर, अनुचुंबकीय पदार्थों के मामले में चुंबकीय द्विध्रुव के संरेखण को बाधित करने के लिए थर्मल आंदोलन की प्रवृत्ति कम हो जाती है। इसलिए वे अधिक चुंबकत्व प्रदर्शित करते हैं।

(बी) एक प्रतिचुंबकीय परमाणुओं में एक आंतरिक चुंबकीय द्विध्रुवीय क्षण नहीं होता है। प्रतिचुंबकीय नमूने को चुंबकीय क्षेत्र में रखने पर, नमूने का चुंबकीय क्षण हमेशा क्षेत्र की दिशा के विपरीत होता है। यह द्विध्रुवों की तापीय गति से प्रभावित नहीं होता है।

(सी) चूंकि बिस्मथ प्रतिचुंबकीय है, कोर कॉइल में क्षेत्र एक कोर के खाली होने की तुलना में दृष्टिगत रूप से कम होगा।

(d) लौहचुम्बकीय पदार्थ की पारगम्यता अनुप्रयुक्त चुम्बकीय क्षेत्र पर निर्भर करती है। कम चुंबकीय क्षेत्र के लिए पारगम्यता अधिक है।

(ङ) इस तथ्य के लिए कारणों में से एक यह है कि जब एक सामग्री μ है r >> 1, क्षेत्र लाइनों सामग्री लगभग सामान्य रूप से मिलते हैं।

(f) हाँ, संतृप्त चुम्बकत्व वाले अनुचुम्बकीय नमूने में चुम्बकत्व का वही क्रम होगा जो लौहचुम्बकीय पदार्थ के चुम्बकत्व का होता है। हालांकि, संतृप्त चुंबकत्व को प्राप्त करने के लिए बहुत अधिक चुंबकीय क्षेत्र की आवश्यकता होगी। इसके अलावा, अनुचुंबकीय और लौहचुंबकीय पदार्थों के परमाणु द्विध्रुवों की शक्तियों में मामूली अंतर हो सकता है।

प्रश्न 17.
निम्नलिखित प्रश्नों के उत्तर दें:
(ए) डोमेन चित्र के आधार पर एक लौह चुंबक के चुंबकीयकरण वक्र में अपरिवर्तनीयता को गुणात्मक रूप से समझाएं।
(बी) एक नरम लोहे के टुकड़े के हिस्टैरिसीस लूप में कार्बन स्टील के टुकड़े की तुलना में बहुत छोटा क्षेत्र होता है। यदि सामग्री को बार-बार चुम्बकत्व के चक्र से गुजरना है, तो कौन सा टुकड़ा अधिक ऊष्मा ऊर्जा को नष्ट कर देगा?
(c) ‘हिस्टैरिसीस लूप जैसे फेरोमैग्नेट प्रदर्शित करने वाला सिस्टम मेमोरी को स्टोर करने के लिए एक उपकरण है।’ इस कथन का अर्थ स्पष्ट कीजिए।
(डी) कैसेट प्लेयर में चुंबकीय टेप को कोटिंग करने के लिए या आधुनिक कंप्यूटर में ‘मेमोरी स्टोर्स’ को उभरने के लिए किस प्रकार की फेरोमैग्नेटिक सामग्री का उपयोग किया जाता है?
(ई) अंतरिक्ष के एक निश्चित क्षेत्र को चुंबकीय क्षेत्र से परिरक्षित किया जाना है। कोई तरीका सुझाएं।
उत्तर:
कार्बन स्टील का एक टुकड़ा अधिक मात्रा में ऊष्मा ऊर्जा को नष्ट कर देगा क्योंकि इसके हिस्टैरिसीस लूप का क्षेत्रफल अधिक होता है।
लौह चुम्बक में उत्पन्न चुम्बकत्व का अनुप्रयुक्त चुम्बकत्व क्षेत्र के अनुरूप अद्वितीय मान नहीं होता है।

इसके अलावा, उत्पादित चुंबकत्व चुंबकत्व के इतिहास पर निर्भर करता है यानी चुंबकत्व के चक्रों की संख्या, इसे लिया गया है। दूसरे शब्दों में, लौह चुम्बक के चुम्बकत्व का मान उसके चुम्बकत्व का अभिलेख या स्मृति होता है। यदि सूचना बिट्स को चुंबकीयकरण के चक्रों के अनुरूप बनाया जा सकता है, तो फेरोमैग्नेट के हिस्टैरिसीस लूप को प्रदर्शित करने वाला सिस्टम सूचना को संग्रहीत करने के लिए एक उपकरण के रूप में कार्य कर सकता है।

  • सिरेमिक का उपयोग कैसेट प्लेयर में चुंबकीय टेप को कोटिंग के लिए या मॉडेम कंप्यूटर में मेमोरी स्टोर बनाने के लिए किया जाता है। सिरेमिक विशेष रूप से बेरियम आयरन ऑक्साइड का इलाज किया जाता है और इसे फेरेट भी कहा जाता है।
  • नरम लोहे के छल्लों से इसे घेरकर क्षेत्र का परिरक्षण किया जा सकता है। चुंबकीय क्षेत्र रेखाएं वलयों में खींची जाएंगी और संलग्न क्षेत्र चुंबकीय क्षेत्र से मुक्त हो जाएगा।

Question 18.
एक लंबी सीधी क्षैतिज केबल में 2.5 A की धारा पश्चिम से 10° दक्षिण से पूर्व से 10° उत्तर दिशा में प्रवाहित होती है। उस स्थान का चुंबकीय याम्योत्तर भौगोलिक मध्याह्न रेखा से 10° पश्चिम में होता है। स्थान पर पृथ्वी का चुंबकीय क्षेत्र 0.33 G है, और डुबकी का कोण शून्य है। तटस्थ बिंदुओं की रेखा का पता लगाएँ (केबल की मोटाई पर ध्यान न दें)। (तटस्थ बिंदुओं पर, धारावाही केबल के कारण चुंबकीय क्षेत्र पृथ्वी के चुंबकीय क्षेत्र के क्षैतिज घटक के बराबर और विपरीत होता है।)
उत्तर:
मान लीजिए कि तटस्थ बिंदु केबल से x दूरी पर स्थित है। अब, तटस्थ बिंदु पर, केबल के कारण चुंबकीय क्षेत्र परिमाण में बराबर और पृथ्वी के चुंबकीय क्षेत्र की दिशा में विपरीत होता है।
कक्षा 12 भौतिकी अध्याय 5 चुंबकत्व और पदार्थ 16 . के लिए एनसीईआरटी समाधान

प्रश्न 19.
किसी स्थान पर एक टेलीफोन केबल में चार लम्बे सीधे क्षैतिज तार होते हैं जो पूर्व से पश्चिम की ओर समान दिशा में 1.0 A की धारा प्रवाहित करते हैं। इस स्थान पर पृथ्वी का चुंबकीय क्षेत्र 0.39 G है, और डुबकी का कोण 35° है। चुंबकीय गिरावट लगभग शून्य है। केबल के नीचे 4.0 सेमी बिंदुओं पर परिणामी चुंबकीय क्षेत्र क्या हैं?
उत्तर:
कक्षा 12 भौतिकी अध्याय 5 चुंबकत्व और पदार्थ 17 . के लिए एनसीईआरटी समाधान
कक्षा 12 भौतिकी अध्याय 5 चुंबकत्व और पदार्थ 18 . के लिए एनसीईआरटी समाधान

प्रश्न 20.
एक क्षैतिज तल में घूमने के लिए स्वतंत्र एक कम्पास सुई को वृत्ताकार कुण्डली के केंद्र में 30 फेरों और त्रिज्या 12 cm पर रखा गया है। कुंडल एक ऊर्ध्वाधर विमान में है जो चुंबकीय मेरिडियन के साथ 45 डिग्री का कोण बना रहा है। जब कुण्डली में धारा ०.३५ A होती है, तो सुई पश्चिम से पूर्व की ओर इशारा करती है।
(ए) स्थान पर पृथ्वी के चुंबकीय क्षेत्र के क्षैतिज घटक का निर्धारण करें।
(बी) कॉइल में करंट उलट जाता है, और कॉइल अपने ऊर्ध्वाधर अक्ष के बारे में 90 ° के कोण से ऊपर से देखने पर वामावर्त अर्थ में घुमाया जाता है। सुई की दिशा की भविष्यवाणी करें। चुंबकीय झुकाव को शून्य के स्थान पर लें।
उत्तर:
कक्षा 12 भौतिकी अध्याय 5 चुंबकत्व और पदार्थ 19 . के लिए एनसीईआरटी समाधान

Question 21.
एक चुंबकीय द्विध्रुव दो चुंबकीय क्षेत्रों के प्रभाव में है। क्षेत्र की दिशाओं के बीच का कोण 60° है, और एक क्षेत्र का परिमाण 1.2 x 10-2T है। यदि द्विध्रुव इस क्षेत्र के साथ 15° के कोण पर स्थिर संतुलन पर आता है, तो दूसरे का परिमाण क्या है खेत ?
उत्तर:
यहां बी, = 1.2 एक्स 10-2टी, θ1= 15 डिग्री, θ2= 45 डिग्री।
एनसीईआरटी समाधान कक्षा 12 भौतिकी अध्याय 5 चुंबकत्व और पदार्थ 20
द्विध्रुव संतुलन में होगा, यदि B1 केकारण द्विध्रुव पर कार्य करने वाला बलाघूर्ण B2 केकारण द्विध्रुव पर लगने वाले बलाघूर्ण के बराबर और विपरीत हो।
यानी एमबीपाप = एमबी2पाप θ2
एनसीईआरटी समाधान कक्षा 12 भौतिकी अध्याय 5 चुंबकत्व और पदार्थ 21

प्रश्न 22.
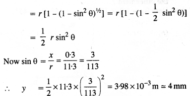
एक मोनोएनर्जेटिक (18 केवी) इलेक्ट्रॉन बीम प्रारंभिक रूप से क्षैतिज दिशा में प्रारंभिक दिशा में 0.40 जी के क्षैतिज चुंबकीय क्षेत्र के अधीन है। 30 सेमी की दूरी पर बीम के ऊपर या नीचे विक्षेपण का अनुमान लगाएं (me= 9.11 x 10-19Q.
[नोट।इस अभ्यास में डेटा इस तरह से चुना गया है कि उत्तर आपको पृथ्वी के चुंबकीय के प्रभाव का एक विचार देगा एक टीवी सेट में इलेक्ट्रॉन गन से स्क्रीन पर इलेक्ट्रॉन बीम की गति पर क्षेत्र।]
उत्तर:
कक्षा 12 भौतिकी अध्याय 5 चुंबकत्व और पदार्थ 22 . के लिए एनसीईआरटी समाधान
एनसीईआरटी समाधान कक्षा 12 भौतिकी अध्याय 5 चुंबकत्व और पदार्थ 23

प्रश्न 23.
अनुचुंबकीय नमक के एक नमूने में 2.0 x 1024परमाणु द्विध्रुव प्रत्येक द्विध्रुव आघूर्ण 1.5 x 10-23JT-1 है। नमूना 0.64 टी के एक सजातीय चुंबकीय क्षेत्र के तहत रखा गया है और 4.2 के तापमान तक ठंडा किया गया है। प्राप्त चुंबकीय संतृप्ति की डिग्री 15% के बराबर है। 0.98 T के चुंबकीय क्षेत्र और 2.8 K के तापमान के लिए नमूने का कुल द्विध्रुवीय क्षण क्या है? (क्यूरी का नियम मानें)।
उत्तर:
नमूने का चुंबकीय द्विध्रुवीय क्षण,
M = 15% M (1.5 x 10-23) (2 x 1024) = 30 JT-1
एनसीईआरटी समाधान कक्षा 12 भौतिकी अध्याय 5 चुंबकत्व और पदार्थ 24
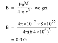
प्रश्न 24।
माध्य त्रिज्या 15 सेमी की एक रोलैंड रिंग में सापेक्ष पारगम्यता 800 के फेरोमैग्नेटिक कोर पर तार घाव के 3500 मोड़ हैं। 1.2 ए के चुंबकीय प्रवाह के लिए कोर में चुंबकीय क्षेत्र बी क्या है?
उत्तर:
एनसीईआरटी समाधान कक्षा 12 भौतिकी अध्याय 5 चुंबकत्व और पदार्थ 25

प्रश्न 25.
चुंबकीय क्षण वैक्टर μ रों  और μ एल ; एक इलेक्ट्रॉन के आंतरिक स्पिन कोणीय गति एस और कक्षीय कोणीय गति जेड के साथ जुड़े, क्रमशः क्वांटम सिद्धांत (और उच्च सटीकता के लिए प्रयोगात्मक रूप से सत्यापित) द्वारा भविष्यवाणी की जाती है जिसे μ s = – (ई / एम) एस, μ एल द्वारा दिया जाता है। = -(ई/2मी)एल. इनमें से कौन सा संबंध शास्त्रीय रूप से अपेक्षित परिणाम के अनुसार है? शास्त्रीय परिणाम की व्युत्पत्ति की रूपरेखा तैयार करें।
उत्तर:
एनसीईआरटी समाधान कक्षा 12 भौतिकी अध्याय 5 चुंबकत्व और पदार्थ 26

हम उम्मीद करते हैं कि हम उम्मीद करते हैं कि एनसीईआरटी सोलूशन्स क्लास 12 भौतिकी चैप्टर 5 चुंबकत्व और पदार्थ आपके लिए मददगार साबित होंगे। यदि आपके पास एनसीईआरटी सोलूशन्स क्लास 12 भौतिकी चैप्टर 5 चुंबकत्व और पदार्थ के बारे में कोई प्रश्न हैं, तो नीचे कमेंट करें और हम आपसे जल्द से जल्द संपर्क करेंगे।

कक्षा 12 भौतिकी अध्याय 5 चुंबकत्व और पदार्थ के लिए एनसीईआरटी समाधान

Leave a Reply

Scroll to top