Library

Open Source Online Library

Library

Open Source Online Library

कक्षा 12 भौतिकी के लिए एनसीईआरटी समाधान अध्याय 4 गतिमान आवेश और चुंबकत्व

एनसीईआरटी सॉल्यूशंस फॉर क्लास 12 फिजिक्स चैप्टर 4 मूविंग चार्जेज एंड मैग्नेटिज्म पार्ट ऑफ एनसीईआरटी सॉल्यूशंस फॉर क्लास 12 फिजिक्स । यहां हमने दिया है। कक्षा 12 भौतिकी के लिए एनसीईआरटी समाधान अध्याय 4 गतिमान आवेश और चुंबकत्व

NCERT Solutions For Class 12 Physics Chapter 4 Moving Charges and Magnetism

तख़्ता सीबीएसई
पाठयपुस्तक NCERT
कक्षा कक्षा 12
विषय भौतिक विज्ञान
अध्याय अध्याय 4
अध्याय का नाम मूविंग चार्ज और चुंबकत्व
हल किए गए प्रश्नों की संख्या 28
श्रेणी NCERT Solutions

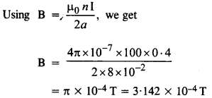
प्रश्न १.
तार की एक वृत्ताकार कुण्डली में १०० फेरे हैं, प्रत्येक की त्रिज्या ८.० सेमी है, ०.४० A की धारा प्रवाहित होती है। कुण्डली के केंद्र में चुंबकीय क्षेत्र B का परिमाण क्या है?
उत्तर:
कक्षा 12 भौतिकी के लिए एनसीईआरटी समाधान अध्याय 4 गतिमान प्रभार और चुंबकत्व 1
प्रश्न 2.
एक लंबे सीधे तार में 35 A की धारा प्रवाहित होती है। तार से 20 सेमी बिंदु पर धारित B का परिमाण क्या है?
उत्तर:
कक्षा 12 भौतिकी के लिए एनसीईआरटी समाधान अध्याय 4 गतिमान प्रभार और चुंबकत्व 2

प्रश्न 3.
क्षैतिज तल में एक लंबे सीधे तार में उत्तर से दक्षिण दिशा में 50 A की धारा प्रवाहित होती है। तार पर 2.5 मीटर पूर्व में एक बिंदु पर R का परिमाण और दिशा दें।
उत्तर:
कक्षा 12 भौतिकी के लिए एनसीईआरटी समाधान अध्याय 4 गतिमान प्रभार और चुंबकत्व 3

प्रश्न 4.
एक क्षैतिज ओवरहेड पावर लाइन पूर्व से पश्चिम दिशा में 90A की धारा प्रवाहित करती है। रेखा से 1.5 मीटर नीचे धारा के कारण चुंबकीय क्षेत्र का परिमाण और दिशा क्या है?
उत्तर:
कक्षा 12 भौतिकी के लिए एनसीईआरटी समाधान अध्याय 4 गतिमान प्रभार और चुंबकत्व 4
कक्षा 12 भौतिकी के लिए एनसीईआरटी समाधान अध्याय 4 गतिमान प्रभार और चुंबकत्व 4.1

प्रश्न 5.
0.15 T के एकसमान चुंबकीय क्षेत्र की दिशा से 30° का कोण बनाने वाले 8 A की धारा प्रवाहित करने वाले तार पर प्रति इकाई लंबाई में चुंबकीय बल का परिमाण क्या है?
उत्तर:
NCERT Solutions for Class 12 Physics Chapter 4 गतिमान आवेश और चुंबकत्व 6

प्रश्न 6.
एक 3.0 सेमी का तार जिसमें 10A की धारा प्रवाहित होती है, अपनी धुरी के लंबवत एक परिनालिका के अंदर रखी जाती है। सोलेनोइड के अंदर चुंबकीय क्षेत्र 0.27 T दिया गया है। तार पर चुंबकीय बल क्या है?
उत्तर:
I = 10 A, B = 0.27 T
1 = 3cm = 0.3m
और θ = 90°
F = BI 1 sin θ
= 0.27×10 × 0.03 × sin90°
= 0.27×10 x 0.03 x 1
= 8.1 × 10– 2एन.

प्रश्न 7.
एक ही दिशा में 8*0A और 5*0A की धाराएं ले जाने वाले दो लंबे और समानांतर सीधे तारों A और B को 4-0 सेमी की दूरी से अलग किया जाता है। तार A के 10 सेमी खंड पर बल का अनुमान लगाएं।
उत्तर:
NCERT Solutions for Class 12 Physics Chapter 4 गतिमान आवेश और चुंबकत्व 7

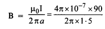
प्रश्न 8.
80 सेमी लंबे एक निकट घाव वाले सोलनॉइड में 400 घुमावों की वाइंडिंग की 5 परतें होती हैं। परिनालिका का व्यास 1.8 सेमी है। यदि प्रवाहित धारा 8.0 A है, तो इसके केंद्र के पास परिनालिका के अंदर B के परिमाण का अनुमान लगाएं।
उत्तर:
कक्षा 12 भौतिकी के लिए एनसीईआरटी समाधान अध्याय 4 गतिमान प्रभार और चुंबकत्व 8

प्रश्न 9.
10 सेमी भुजा वाली एक वर्गाकार कुण्डली में 20 फेरे होते हैं और उसमें 12 A की धारा प्रवाहित होती है। कुण्डली को लंबवत रूप से लटकाया जाता है और कुण्डली के तल पर अभिलम्ब एक समान क्षैतिज चुंबकीय की दिशा के साथ 30° का कोण बनाता है। परिमाण 0.80 T का क्षेत्र। कुंडल द्वारा अनुभव किए गए टोक़ का परिमाण क्या है?
उत्तर:
एन = 20, ए = 100 x 10-4मीटर2
आई = 12 ए
बी = 0.8 टी
θ = 30 डिग्री
टॉर्क, τ = एनआई (मैं एक्स बीमैं)
= 20 x 12 x 100 x 10 -4 x 0.8 x बिना 30 ° 1
= 20 x 12 x 100 x 10 -4 x 0.8 x12
= 0.96 एनएम

प्रश्न 10.
दो गतिमान कॉइल मीटर, एम1और एम2में निम्नलिखित विवरण हैं:
आर1= 10 , एन1= 30, ए1= 3.6 x 10-3मीटर2, बी1= 0.25 टी
आर2= 14 , एन2= 42, ए2= 1.8 x 10-3 मीटर2, बी2= 0.50 टी (वसंत स्थिरांक दो मीटर के लिए समान हैं)। (ए) वर्तमान संवेदनशीलता और (बी) एम2और एम1की वोल्टेज संवेदनशीलता का अनुपात निर्धारित करें।
उत्तर:
वर्तमान संवेदनशीलता का उपयोग करना = NBA/k
एम 1 करंट सेंसिटिविटी
कक्षा 12 भौतिकी के लिए एनसीईआरटी समाधान अध्याय 4 गतिमान प्रभार और चुंबकत्व 9
कक्षा 12 भौतिकी के लिए एनसीईआरटी समाधान अध्याय 4 गतिमान प्रभार और चुंबकत्व 10
प्रश्न 11 के लिए
। एक कक्ष में, 6.5G (1G = RHT) का एक समान चुंबकीय क्षेत्र बनाए रखा जाता है। एक इलेक्ट्रॉन को क्षेत्र में सामान्य गति से 4.8 x 10 6 ms -1 की गति से क्षेत्र में गोली मार दी जाती है । समझाइए कि इलेक्ट्रॉन का पथ वृत्त क्यों है। वृत्ताकार कक्षा की त्रिज्या ज्ञात कीजिए,
(e =1.6 x 10 -19 C, m = 9.1 x 10 -31 किग्रा)।
उत्तर:
कक्षा 12 भौतिकी के लिए एनसीईआरटी समाधान अध्याय 4 गतिमान प्रभार और चुंबकत्व 11

प्रश्न 12.
अभ्यास 4.11 में इलेक्ट्रॉन की वृत्तीय कक्षा में परिक्रमण की आवृत्ति ज्ञात कीजिए। क्या उत्तर इलेक्ट्रॉन की गति पर निर्भर करता है? समझाना।
उत्तर:
कक्षा 12 भौतिकी के लिए एनसीईआरटी समाधान अध्याय 4 गतिमान प्रभार और चुंबकत्व 12

प्रश्न 13.
(a) ३० फेरे और त्रिज्या ८-० सेमी की एक वृत्ताकार कुंडल जिसमें ६-० ए की धारा प्रवाहित होती है, १.० टी परिमाण के एक समान क्षैतिज चुंबकीय क्षेत्र में लंबवत रूप से निलंबित है। क्षेत्र रेखाएँ ६०° का कोण बनाती हैं कुंडल का सामान्य। काउंटर-टॉर्क के परिमाण की गणना करें जिसे कॉइल को मोड़ने से रोकने के लिए लागू किया जाना चाहिए।
(बी) क्या आपका उत्तर बदल जाएगा, यदि (ए) में वृत्ताकार कुंडल को किसी अनियमित आकार के समतलीय शौचालय से बदल दिया जाता है जो उसी क्षेत्र को घेरता है? (अन्य सभी विवरण भी अपरिवर्तित हैं)  (सीबीएसई 1998 सी)
उत्तर:
(ए)= एनबीआईए पाप 9 का उपयोग करके, हमें
τ = 30 एक्स 1 एक्स 6 एक्सएन (8 एक्स 10-2)2पाप 60
= 180 x मिलता है ( ८ x १०-)०.८६६
= ३.१३
एनएम मीटर काउंटर-टॉर्क का परिमाण ३.१३ एनएम है
(बी) उत्तर नहीं बदलेगा क्योंकि टॉर्क कॉइल के आकार पर निर्भर नहीं करता है बशर्ते यह उसी क्षेत्र को घेरता हो।

प्रश्न 14.
दो संकेंद्रित वृत्ताकार कुण्डलियाँ क्रमशः 16 सेमी और 10 सेमी त्रिज्या वाली X और Y, उत्तर से दक्षिण दिशा वाले एक ही उर्ध्वाधर तल में स्थित हैं। कुंडल X में 20 मोड़ हैं और 16 A की धारा प्रवाहित होती है: कुंडल Y में 25 मोड़ हैं और 18 A की धारा प्रवाहित होती है। X में धारा की भावना वामावर्त है, और Y में दक्षिणावर्त है, एक पर्यवेक्षक के लिए जो कुंडलियों को पश्चिम की ओर देख रहा है . उनके केंद्र में कुंडलियों के कारण शुद्ध चुंबकीय क्षेत्र का परिमाण और दिशा दें।
उत्तर:
कुंडल X के लिए
कक्षा 12 भौतिकी के लिए एनसीईआरटी समाधान अध्याय 4 गतिमान प्रभार और चुंबकत्व 13
प्रश्न 15.
100 G (1 G = 10-4T) केएक चुंबकीय क्षेत्र कीआवश्यकता होती है जो रैखिक आयाम के क्षेत्र में लगभग 10 सेमी और क्रॉस-सेक्शन के क्षेत्र में लगभग 10-3 m2 के समान हो।. तार के दिए गए तार की अधिकतम धारा-वहन क्षमता 15 ए है और प्रति इकाई लंबाई में घुमावों की संख्या जो एक कोर के चारों ओर घाव हो सकती है, अधिकतम 1000 मोड़ मीटर -1 है । आवश्यक उद्देश्य के लिए परिनालिका के कुछ उपयुक्त डिजाइन विवरण सुझाएं। मान लें कि कोर फेरोमैग्नेटिक नहीं है।
उत्तर:
NCERT Solutions for Class 12 Physics Chapter 4 गतिमान आवेश और चुंबकत्व 14
हम I = 10 A और n = 800 ले सकते हैं। दिए गए सोलनॉइड की लंबाई 50 सेमी हो सकती है जिसमें 400 मोड़ होते हैं और क्रॉस-सेक्शन का क्षेत्रफल = 5 x 10 -3 मीटर 2 (दिए गए मान का पांच गुना) होता है।

प्रश्न 16.
त्रिज्या आर और एन के एक परिपत्र कुंडल के लिए वर्तमान मैं ले जाने मुड़ता, में अपने केंद्र से एक दूरी एक्स अपनी धुरी पर एक बिंदु पर चुंबकीय क्षेत्र की भयावहता द्वारा दिया जाता है,
NCERT Solutions for Class 12 Physics Chapter 4 गतिमान आवेश और चुंबकत्व 15
(क) बताते हैं कि इस परिचित करने के लिए कम कर देता है कुंडल के केंद्र में क्षेत्र के लिए परिणाम।
(बी) बराबर त्रिज्या आर के दो समानांतर सह-अक्षीय गोलाकार कॉइल्स पर विचार करें, और एक ही दिशा में समान धाराओं को ले जाने वाले एन की संख्या, और दूरी आर से अलग हो जाती है। दिखाएं कि मध्य-बिंदु के बीच अक्ष पर क्षेत्र कॉइल एक दूरी पर एक समान होती है जो R की तुलना में छोटी होती है, और इसके द्वारा दी जाती है,
NCERT Solutions for Class 12 Physics Chapter 4 गतिमान आवेश और चुंबकत्व 16
(एक छोटे से क्षेत्र में लगभग एक समान चुंबकीय क्षेत्र उत्पन्न करने की ऐसी व्यवस्था को हेल्महोल्ट्ज़ कॉइल के रूप में जाना जाता है।)
उत्तर:
NCERT Solutions for Class 12 Physics Chapter 4 गतिमान आवेश और चुंबकत्व 17
( बी)बता दें कि कथन में बताए अनुसार दो कॉइल हैं। दो कुंडलियों के बीच की जगह के मध्य-बिंदु के बारे में लंबाई 2d के एक छोटे से क्षेत्र में चुंबकीय क्षेत्र,
NCERT Solutions for Class 12 Physics Chapter 4 गतिमान आवेश और चुंबकत्व 18
NCERT Solutions for Class 12 Physics Chapter 4 गतिमान आवेश और चुंबकत्व 19
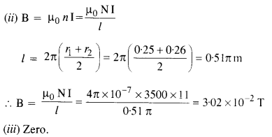
प्रश्न 17 द्वारा दिया गया है ।
एक टॉरॉइड में आंतरिक त्रिज्या 25 सेमी और बाहरी त्रिज्या 26 सेमी का एक कोर (गैर-लौहचुंबकीय) होता है, जिसके चारों ओर एक तार के 3500 फेरे घाव हैं। यदि तार में धारा 11 A है, तो चुंबकीय क्षेत्र
(i) टोरॉयड के बाहर
(ii) टोरॉयड के कोर के अंदर, और
(iii) टोरॉयड से घिरे खाली स्थान में क्या है?
उत्तर:
(i) शून्य
NCERT Solutions for Class 12 Physics Chapter 4 गतिमान आवेश और चुंबकत्व 20

प्रश्न 18.
निम्नलिखित प्रश्नों के उत्तर दें:
(ए) एक चुंबकीय क्षेत्र जो एक बिंदु से बिंदु पर परिमाण में भिन्न होता है लेकिन एक स्थिर दिशा (पूर्व से पश्चिम) होता है, एक कक्ष में स्थापित किया जाता है। एक आवेशित कण कक्ष में प्रवेश करता है और निरंतर गति के साथ सीधे पथ के साथ विक्षेपित यात्रा करता है। कण के प्रारंभिक वेग के बारे में आप क्या कह सकते हैं?

(बी) एक आवेशित कण एक मजबूत और गैर-समान चुंबकीय क्षेत्र के वातावरण में प्रवेश करता है जो परिमाण और दिशा दोनों में एक बिंदु से दूसरे बिंदु पर भिन्न होता है और एक जटिल प्रक्षेपवक्र के बाद इससे बाहर आता है। क्या इसकी अंतिम गति प्रारंभिक गति के बराबर होगी यदि इसे पर्यावरण के साथ कोई टकराव नहीं हुआ?

(c) पश्चिम से पूर्व की ओर यात्रा करने वाला एक इलेक्ट्रॉन उत्तर से दक्षिण दिशा में एक समान इलेक्ट्रोस्टैटिक क्षेत्र वाले कक्ष में प्रवेश करता है। उस दिशा को निर्दिष्ट करें जिसमें इलेक्ट्रॉन को उसके सीधी-रेखा पथ से विक्षेपण से रोकने के लिए एक समान चुंबकीय क्षेत्र स्थापित किया जाना चाहिए।
उत्तर:
(a) चुंबकीय क्षेत्र के अंदर गतिमान आवेशित कण पर लगने वाला बल किसके द्वारा दिया जाता है?
एफमैं एमक्यू(वीमैं ×बीमैं )
यदि vx B शून्य है, तो आवेशित कण कुण्डली bd शून्य पर बल (अविक्षेपित रहेगा)। इसलिए, या तो प्रारंभिक वेग v चुंबकीय क्षेत्र B के समानांतर या विरोधी समानांतर है।

(बी) चुंबकीय क्षेत्र आवेशित कण पर बल लगाता है, जो हमेशा अपनी गति के लंबवत होता है और इसलिए कोई काम नहीं करता है। इसलिए, आवेशित कण की अपनी प्रारंभिक गति के बराबर अंतिम गति होगी, बशर्ते कि वह पर्यावरण से कोई टकराव न करे।

(c) स्थिरवैद्युत क्षेत्र की क्रिया के तहत, इलेक्ट्रॉन उत्तर की ओर (धनात्मक प्लेट की ओर) विक्षेपित हो जाएगा। यदि चुंबकीय क्षेत्र के कारण बल दक्षिण की ओर है तो यह विक्षेपित रहेगा। वेग के रूप में: इलेक्ट्रॉन का y पश्चिम से पूर्व की ओर है, चुंबकीय लोरेंत्ज़ बल के लिए व्यंजक अर्थातएफमैं एम– ई (वीमैं ×बीमैं ) यह बताता है कि चुंबकीय क्षेत्र बीमैं ऊर्ध्वाधर और नीचे की दिशा में लागू किया जाना चाहिए। फ्लेमिंग के बाएँ हाथ के नियम को लागू करके चुंबकीय क्षेत्र की दिशा ज्ञात की जा सकती है।

प्रश्न 19.
एक गर्म कैथोड द्वारा उत्सर्जित और 2.0 kV के संभावित अंतर के माध्यम से त्वरित एक इलेक्ट्रॉन 0.15 T के एकसमान चुंबकीय क्षेत्र के साथ एक क्षेत्र में प्रवेश करता है। इलेक्ट्रॉन के प्रक्षेपवक्र का निर्धारण करें यदि क्षेत्र (ए) अपने प्रारंभिक वेग से अनुप्रस्थ है, (बी) प्रारंभिक वेग के साथ 30 डिग्री का कोण बनाता है।
उत्तर:
V से गुजरते समय इलेक्ट्रॉन द्वारा प्राप्त KE
NCERT Solutions for Class 12 Physics Chapter 4 गतिमान आवेश और चुंबकत्व 21
(b)जब इलेक्ट्रॉन चुंबकीय क्षेत्र की दिशा के साथ 30° का कोण बनाते हुए r वेग से गति करता है, तो r cos
कक्षा 12 भौतिकी के लिए एनसीईआरटी समाधान अध्याय 4 गतिमान प्रभार और चुंबकत्व 22

प्रश्न 20 है।

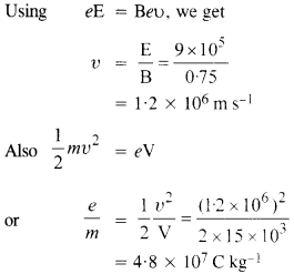
हेल्महोल्ट्ज़ कॉइल (व्यायाम ४.१६ में वर्णित) का उपयोग करके स्थापित एक चुंबकीय क्षेत्र एक छोटे से क्षेत्र में एक समान है और इसका परिमाण ०.७५ टी है। उसी क्षेत्र में, कॉइल्स के सामान्य अक्ष के लिए सामान्य दिशा में एक समान इलेक्ट्रोस्टैटिक क्षेत्र बनाए रखा जाता है। . (एकल प्रजाति) आवेशित कणों का एक संकीर्ण पुंज 15 kV से त्वरित होकर इस क्षेत्र में कुंडलियों की धुरी और इलेक्ट्रोस्टैटिक क्षेत्र दोनों के लंबवत दिशा में प्रवेश करता है। यदि इलेक्ट्रोस्टैटिक क्षेत्र के ९.० x १०  वी मीटर -1 होने पर बीम अपरिवर्तित रहता है , तो एक सरल अनुमान लगाएं कि बीम में क्या है। उत्तर अद्वितीय क्यों नहीं है।
उत्तर:
कक्षा 12 भौतिकी के लिए एनसीईआरटी समाधान अध्याय 4 गतिमान प्रभार और चुंबकत्व 23
दिया गया कण ड्यूट्रॉन हो सकता है।
परिणाम अद्वितीय नहीं है क्योंकि यह e/m अनुपात He + + , Li . के लिए सत्य हो सकता है+++ आदि।

प्रश्न 21.
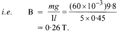
0.45 मीटर लंबाई और 60 ग्राम द्रव्यमान की एक सीधी क्षैतिज संवाहक छड़ को इसके सिरों पर दो ऊर्ध्वाधर तारों द्वारा निलंबित किया जाता है। तारों के माध्यम से छड़ में 5.0 A की धारा स्थापित की जाती है।”
(ए) कंडक्टर को सामान्य रूप से कौन सा चुंबकीय क्षेत्र स्थापित किया जाना चाहिए ताकि तारों में तनाव शून्य हो?
(b) यदि चुंबकीय क्षेत्र को पहले की तरह ही रखते हुए धारा की दिशा उलट दी जाए तो तारों में कुल तनाव कितना होगा? (तारों के द्रव्यमान पर ध्यान न दें।) g = 9.8 ms-2
उत्तर:
(ए)तार में तनाव शून्य है यदि करंट के कारण करंट ले जाने वाले तार पर बल तार के वजन के बराबर और विपरीत होता है। यह है, बीआईएल = मिलीग्राम
NCERT Solutions for Class 12 Physics Chapter 4 गतिमान आवेश और चुंबकत्व 24
(बी)यदि धारा को उलट दिया जाता है, तो तनाव चुंबकीय क्षेत्र और तार के भार के कारण तार पर लगने वाले बल के बराबर होता है। यह है,
टी = बीएल + मिलीग्राम
= 0.26 x 5 x 0.45 + 60 x 10 -3 x 9.8
= 1.18 एन।

प्रश्न 22.
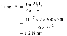
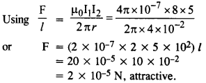
किसी वाहन की बैटरी को उसके आरंभिक मोटर से जोड़ने वाले तार 300 A (थोड़े समय के लिए) की धारा प्रवाहित करते हैं। यदि तारों की लंबाई 70 सेमी और 1.5 सेमी की दूरी है, तो उनके बीच प्रति इकाई लंबाई का बल कितना होगा? बल आकर्षक है या प्रतिकर्षण(HSEB2001)
उत्तर:
NCERT Solutions for Class 12 Physics Chapter 4 गतिमान आवेश और चुंबकत्व 25
चूँकि दो तारों में धाराएँ विपरीत दिशाओं में होती हैं इसलिए बल प्रतिकर्षण होता है।

प्रश्न 23.
10.0 सेमी त्रिज्या के बेलनाकार क्षेत्र में 1.5 T का एक समान चुंबकीय क्षेत्र मौजूद है, इसकी दिशा पूर्व से पश्चिम में अक्ष के समानांतर है। उत्तर से दक्षिण दिशा में 7.0 A की धारा प्रवाहित करने वाला एक तार इस क्षेत्र से होकर गुजरता है। तार पर लगने वाले बल का परिमाण और दिशा क्या है यदि,
(a) तार अक्ष को काटता है,
(b) तार को NS से ​​उत्तर-उत्तर-पश्चिम दिशा में घुमाया जाता है?
(सी) एनएस दिशा में तार को अक्ष से 6.0 सेमी की दूरी से कम किया जाता है?
उत्तर:
NCERT Solutions for Class 12 Physics Chapter 4 गतिमान आवेश और चुंबकत्व 26

एनसीईआरटी सॉल्यूशंस फॉर क्लास 12 फिजिक्स चैप्टर 4 मूविंग चार्ज और मैग्नेटिज्म 27
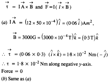
प्रश्न २४.
३००० G का एक समान चुंबकीय क्षेत्र धनात्मक z-दिशा के अनुदिश स्थापित है। 10 सेमी और 5 सेमी भुजा वाले एक आयताकार लूप में 12 ए की धारा प्रवाहित होती है। चित्र में दिखाए गए विभिन्न मामलों में लूप पर टॉर्क क्या है? प्रत्येक मामले पर बल क्या है? कौन सा मामला स्थिर संतुलन से मेल खाता है?
NCERT Solutions for Class 12 Physics Chapter 4 गतिमान आवेश और चुंबकत्व 28
उत्तर:
एनसीईआरटी सॉल्यूशंस फॉर क्लास 12 फिजिक्स चैप्टर 4 मूविंग चार्ज और मैग्नेटिज्म 29
NCERT Solutions for Class 12 Physics Chapter 4 गतिमान आवेश और चुंबकत्व 30

प्रश्न 25.
20 फेरों वाली एक वृत्ताकार कुण्डली और 10 cm त्रिज्या को 0.10 T के एकसमान चुम्बकीय क्षेत्र में कुण्डली के तल के अभिलम्ब में रखा गया है। यदि कुण्डली में धारा 5.0 A है, तो
(a) कुण्डली
पर कुल बलआघूर्ण,(b) कुण्डली पर कुल बल,
(c) चुंबकीय क्षेत्र के कारण कुण्डली में प्रत्येक इलेक्ट्रॉन पर औसत बल क्या है?
(कुंडली 10-5मीटर2क्रॉस-अनुभागीय क्षेत्र के तांबे के तार से बना है, और तांबे में मुक्त इलेक्ट्रॉन घनत्व लगभग 1029 मीटर3दिया गया है)
उत्तर:
NCERT Solutions for Class 12 Physics Chapter 4 गतिमान आवेश और चुंबकत्व 31

प्रश्न 26.
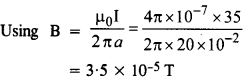
60 सेमी लंबी और 4.0 सेमी त्रिज्या वाली एक परिनालिका में 300 फेरों वाली वाइंडिंग की 3 परतें होती हैं। 2.5 ग्राम द्रव्यमान का एक 2.0 सेमी लंबा तार अपनी धुरी के अभिलंब परिनालिका (इसके केंद्र के पास) के अंदर स्थित है; परिनालिका के तार और अक्ष दोनों क्षैतिज तल में हैं। तार को परिनालिका की धुरी के समानांतर दो लीडों के माध्यम से एक बाहरी बैटरी से जोड़ा जाता है जो तार में 6.0 A की धारा की आपूर्ति करती है। सोलनॉइड की वाइंडिंग में करंट का कितना मान (सर्कुलेशन की उचित भावना के साथ) तार के वजन का समर्थन कर सकता है? जी = 9.8 एमएस-2
उत्तर:
NCERT Solutions for Class 12 Physics Chapter 4 गतिमान आवेश और चुंबकत्व 32

प्रश्न 27.
एक गैल्वेनोमीटर कुण्डली का प्रतिरोध 12 Q है और मीटर 3 mA की धारा के लिए पूर्ण पैमाने पर विक्षेपण दर्शाता है। आप मीटर को 0 से 18 V के रेंज वाले वोल्टमीटर में कैसे बदलेंगे?
उत्तर:
यहाँ 1=3 mA = 3 x 10-3A
गैल्वेनोमीटर प्रतिरोध, G = 12 गैल्वेनोमीटर को दिए गए उच्च श्रेणी प्रतिरोध R को जोड़कर 0 से V (यहाँ V = 18 V) के वोल्टमीटर में परिवर्तित किया जा सकता है।
NCERT Solutions for Class 12 Physics Chapter 4 गतिमान आवेश और चुंबकत्व 33

प्रश्न 28.
एक गैल्वेनोमीटर कुण्डली का प्रतिरोध 15Ω है और मीटर 4 mA की धारा के लिए पूर्ण पैमाने पर विक्षेपण दर्शाता है। आप मीटर को 0 से 6 के रेंज के एमीटर में कैसे बदलेंगे?
उत्तर:
NCERT Solutions for Class 12 Physics Chapter 4 गतिमान आवेश और चुंबकत्व 34

हम उम्मीद करते हैं कि एनसीईआरटी सोलूशन्स क्लास 12 भौतिकी चैप्टर 4 गतिमान आवेश और चुंबकत्व आपके लिए मददगार साबित होंगे। यदि आपके पास एनसीईआरटी सॉल्यूशंस फॉर क्लास 12 भौतिकी चैप्टर 4 मूविंग चार्ज और चुंबकत्व के बारे में कोई प्रश्न हैं, तो नीचे एक टिप्पणी करें और हम आपसे जल्द से जल्द संपर्क करेंगे।

कक्षा 12 भौतिकी के लिए एनसीईआरटी समाधान अध्याय 4 गतिमान आवेश और चुंबकत्व

Leave a Reply

Scroll to top