कक्षा 12 भौतिकी के लिए एनसीईआरटी समाधान अध्याय 15 संचार प्रणाली कक्षा 12 भौतिकी के लिए एनसीईआरटी समाधान का हिस्सा हैं । यहां हमने दिया है। कक्षा 12 भौतिकी अध्याय 15 संचार प्रणाली के लिए एनसीईआरटी समाधान।
NCERT Solutions for Class 12 Physics Chapter 15 Communication Systems
| तख़्ता | सीबीएसई |
| पाठयपुस्तक | NCERT |
| कक्षा | कक्षा 12 |
| विषय | भौतिक विज्ञान |
| अध्याय | अध्याय 15 |
| अध्याय का नाम | संचार प्रणाली |
| हल किए गए प्रश्नों की संख्या | 8 |
| श्रेणी | NCERT Solutions |
प्रश्न 1.
निम्नलिखित में से किस आवृत्ति/आवृत्तियों पर संचार क्षितिज से परे स्थित एक रिसीवर के लिए विश्वसनीय नहीं होगा:
(ए) 10 किलोहर्ट्ज़
(बी) 10 मेगाहर्ट्ज
(सी) 1 गीगाहर्ट्ज
(डी) 1000 गीगाहर्ट्ज
उत्तर:
(बी) सही है। यहां (सी) और (डी) आवृत्तियों में उच्च प्रवेश शक्ति है इसलिए पृथ्वी उन्हें अवशोषित कर लेगी। 10 किलोहर्ट्ज़ का विकिरण (ए) एंटीना के आकार की समस्या से ग्रस्त होगा।
प्रश्न 2.
UHF श्रेणी में आवृत्तियाँ सामान्यतः
(a) भू-तरंगों
(b) आकाश तरंगों
(c) सतह तरंगों
(d) अंतरिक्ष तरंगों के माध्यम से फैलती हैं ।
उत्तर:
(डी) अंतरिक्ष तरंगें।
प्रश्न 3.
डिजिटल सिग्नल (i) मूल्यों का एक निरंतर सेट प्रदान नहीं करते हैं, (ii) असतत चरणों के रूप में मूल्यों का प्रतिनिधित्व करते हैं, (Hi) केवल बाइनरी सिस्टम का उपयोग कर सकते हैं, और (iv) दशमलव के साथ-साथ बाइनरी सिस्टम का भी उपयोग कर सकते हैं। निम्नलिखित में से कौन सा विकल्प सत्य है:
(ए) केवल (i) और (ii)।
(बी) केवल (ii) और (iii)।
(सी) केवल (i), (ii) और (iii), लेकिन नहीं (iv)।
(डी) एएच उपरोक्त (i) से (iv)।
उत्तर:
(सी) सही है क्योंकि दशमलव प्रणाली निरंतर मूल्यों (i) से (iii) से संबंधित है।
प्रश्न 4.
क्या ट्रांसमिटिंग एंटेना के लिए लाइन-ऑफ-विज़न संचार के लिए प्राप्त करने वाले एंटीना के समान ऊंचाई पर होना आवश्यक है? एक टीवी प्रसारण एंटीना 81 मीटर लंबा है। यदि रिसीवर एंटेना जमीनी स्तर पर है तो यह कितने सेवा क्षेत्र को कवर कर सकता है?
उत्तर:
लाइन-ऑफ़-विज़न संचार के लिए, यह आवश्यक है कि ट्रांसमिटिंग एंटेना और रिसीविंग एंटेना आमने-सामने हों लेकिन यह आवश्यक नहीं है कि वे समान ऊँचाई पर हों।

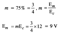
प्रश्न 5.
संदेश सिग्नल को संचारित करने के लिए पीक वोल्टेज 12 वी की वाहक तरंग का उपयोग किया जाता है। ७५% का मॉड्यूलेशन इंडेक्स होने के लिए मॉड्यूलेटिंग सिग्नल का पीक वोल्टेज कितना होना चाहिए?
उत्तर:

प्रश्न 6.
एक मॉडुलन संकेत एक वर्ग तरंग है जैसा कि चित्र में दिखाया गया है। वाहक तरंग
C(t) = 2 sin(8πt) V द्वारा दी गई है

(a) आयाम संग्राहक तरंग को स्केच करें।
(बी) मॉड्यूलेशन इंडेक्स क्या है?
उत्तर:


तदनुसार, आयाम संग्राहक तरंग को आगे दिखाया गया है:
प्रश्न 7.
एक आयाम मॉडुलित तरंग के लिए, अधिकतम आयाम 10 V पाया जाता है जबकि न्यूनतम आयाम 2 V पाया जाता है। मॉडुलन सूचकांक μ निर्धारित करें। यदि न्यूनतम आयाम शून्य V हो तो μ का मान क्या होगा?
उत्तर:

प्रश्न 8.
दिखाएँ कि यदि कोई उपकरण उपलब्ध है जो दो संकेतों को गुणा कर सकता है, तो रिसीवर स्टेशन पर मॉड्यूलेटिंग सिग्नल को पुनर्प्राप्त करना संभव है।
उत्तर:
वहाँ दो के प्रतिनिधित्व वाले संकेतों होने दो
एक ग क्योंकि ω सी टी और एक 0 cos (ω ग + ω मीटर ) टी जहां एक सी है
आयाम, ω गप्राप्त करने वाले छोर पर एक वाहक तरंग की कोणीय आवृत्ति है और A 0 आयाम है, (ω c + m ) संशोधित तरंग का कोणीय वेग है।
इन संकेतों को गुणा करने पर, हम प्राप्त करते हैं

हम उम्मीद करते हैं कि एनसीईआरटी सोलूशन्स क्लास 12 भौतिकी चैप्टर 15 संचार प्रणाली आपके लिए मददगार साबित होंगे। यदि आपके पास एनसीईआरटी सोलूशन्स क्लास 12 भौतिकी चैप्टर 15 संचार प्रणाली के बारे में कोई प्रश्न हैं, तो नीचे कमेंट करें और हम आपसे जल्द से जल्द संपर्क करेंगे।
