कक्षा 12 भौतिकी के लिए एनसीईआरटी समाधान अध्याय 14 इलेक्ट्रॉनिक्स उपकरण कक्षा 12 भौतिकी के लिए एनसीईआरटी समाधान का हिस्सा हैं । यहां हमने दिया है। एनसीईआरटी समाधान कक्षा 12 भौतिकी अध्याय 14 इलेक्ट्रॉनिक्स उपकरण
NCERT Solutions for Class 12 Physics Chapter 14 Electronics Devices
| तख़्ता | सीबीएसई |
| पाठयपुस्तक | NCERT |
| कक्षा | कक्षा 12 |
| विषय | भौतिक विज्ञान |
| अध्याय | अध्याय 14 |
| अध्याय का नाम | इलेक्ट्रॉनिक्स उपकरण |
| हल किए गए प्रश्नों की संख्या | 19 |
| श्रेणी | NCERT Solutions |
प्रश्न 1.
एक n-प्रकार के सिलिकॉन में, निम्नलिखित में से कौन सा कथन सत्य है:
(a) इलेक्ट्रॉन बहुसंख्यक वाहक होते हैं और त्रिसंयोजक परमाणु डोपेंट होते हैं।
(बी) इलेक्ट्रॉन अल्पसंख्यक वाहक हैं और पेंटावैलेंट परमाणु डोपेंट हैं।
(सी) छिद्र अल्पसंख्यक वाहक हैं और पेंटावैलेंट परमाणु डोप्लांट हैं।
(डी) छिद्र बहुसंख्यक वाहक होते हैं और त्रिसंयोजक परमाणु डोपेंट होते हैं।
उत्तर:
(सी)‘छेद अल्पसंख्यक वाहक हैं और पेंटावैलेंट परमाणु n प्रकार के अर्धचालक में डोपेंट हैं।’
प्रश्न 2.
अभ्यास 1 में दिए गए कथनों में से कौन सा कथन p-प्रकार के अर्धचालकों के लिए सही है?
उत्तर:
(डी)छेद बहुसंख्यक वाहक होते हैं और त्रिसंयोजक परमाणु पी-प्रकार के अर्धचालकों में डोपेंट होते हैं।
प्रश्न 3.
कार्बन, सिलिकॉन और जर्मेनियम में प्रत्येक में चार संयोजकता इलेक्ट्रॉन होते हैं। ये क्रमशः (Eg)c, (Eg)si और (Eg) Ge के बराबर एनर्जी बैंड गैप द्वारा अलग किए गए वैलेंस और कंडक्शन बैंड द्वारा विशेषता हैं-
निम्नलिखित में से कौन सा कथन सत्य है?
(ए) (जैसे) सी < (जैसे) जीई < (ईजी) सी
(बी) (ई) सी <(ईजी) जीई> (ईजी) सी
(सी) (ईजी) सी > (ईजी) सी > (जैसे) जीई
(डी) (ईजी) सी = (ईजी) सी = (ईजी) जीई
उत्तर:
(सी)(ईजी) सी > (ईजी) सी > (ईजी) जीई। दिए गए तत्वों में एनर्जी बैंड गैप कार्बन में अधिकतम और जर्मेनियम में सबसे कम है।
प्रश्न 4.
एक निष्पक्ष pn जंक्शन में, छिद्र p-क्षेत्र से n-क्षेत्र में विसरित होते हैं क्योंकि
(a) n-क्षेत्र में मुक्त इलेक्ट्रॉन उन्हें आकर्षित करते हैं।
(बी) वे संभावित अंतर से जंक्शन के पार जाते हैं।
(c) p-क्षेत्र में छिद्र सांद्रता n-क्षेत्र की तुलना में अधिक है।
(डी) उपरोक्त सभी।
उत्तर:
(c)p-क्षेत्र में छिद्र सांद्रता n-क्षेत्र की तुलना में अधिक होती है क्योंकि छिद्र का प्रसार उच्च सांद्रता से निम्न सांद्रता की ओर होता है।
प्रश्न 5.
जब एक pn जंक्शन पर अग्र बायस लगाया जाता है, तो यह
(a) संभावित अवरोध को बढ़ाता है
(b) बहुसंख्यक वाहक धारा को शून्य तक
कम करता है (c) संभावित अवरोध को कम करता है
(d) उपरोक्त में से कोई नहीं।
उत्तर:
(सी)कमी परत को रद्द करके संभावित बाधा को कम करता है।
प्रश्न 6.
ट्रांजिस्टर क्रिया के लिए, निम्नलिखित में से कौन सा कथन सही है :
(a) आधार, उत्सर्जक और संग्राहक क्षेत्रों में समान आकार और डोपिंग सांद्रता होनी चाहिए।
(बी) आधार क्षेत्र बहुत पतला और हल्का डोप होना चाहिए।
(सी) उत्सर्जक जंक्शन आगे पक्षपाती है और कलेक्टर जंक्शन विपरीत पक्षपातपूर्ण है।
(डी) एमिटर जंक्शन और कलेक्टर जंक्शन दोनों आगे के पक्षपाती हैं।
उत्तर:
(बी) और (सी) :आधार क्षेत्र बहुत पतला, हल्का डोप किया जाना चाहिए और उत्सर्जक जंक्शन आगे पक्षपाती होना चाहिए, जबकि कलेक्टर जंक्शन आधार में चार्ज वाहक के अनावश्यक प्रसार से बचने के लिए और उचित प्रवर्धन के लिए रिवर्स बायस्ड है।
प्रश्न 7.
एक ट्रांजिस्टर एम्पलीफायर के लिए, वोल्टेज लाभ:
(ए) सभी आवृत्तियों के लिए स्थिर रहता है।
(बी) उच्च और निम्न आवृत्तियों पर उच्च और मध्यम आवृत्ति रेंज में स्थिर है।
(सी) उच्च और निम्न आवृत्तियों पर कम और मध्य आवृत्तियों पर स्थिर है।
(डी) उपरोक्त में से कोई नहीं।
उत्तर:
(सी)एक ट्रांजिस्टर की आवृत्ति प्रतिक्रिया के अनुसार उच्च और निम्न आवृत्तियों पर कम और मध्य आवृत्तियों पर स्थिर है।
प्रश्न 8.
हाफ-वेव रेक्टिफिकेशन में, यदि इनपुट फ़्रीक्वेंसी 50 हर्ट्ज़ है, तो आउटपुट फ़्रीक्वेंसी क्या है। समान इनपुट फ़्रीक्वेंसी के लिए फुल-वेव रेक्टिफायर की आउटपुट फ़्रीक्वेंसी क्या है।
उत्तर:
एक हाफ वेव रेक्टिफायर इनपुट एसी के केवल एक आधे चक्र को ठीक करता है
।’ आउटपुट एसी की
आवृत्ति = इनपुट की आवृत्ति एसी = 50 हर्ट्ज एक पूर्ण तरंग शुद्ध
करने वाला एसी इनपुट केदोनों आधे चक्रोंकोसुधारता है
।’। आउटपुट एसी की आवृत्ति = 2 x इनपुट एसी की आवृत्ति = 2 x 50 = 100 हर्ट्ज
प्रश्न 9.
CE-ट्रांजिस्टर एम्पलीफायर के लिए, 2 kQ के कलेक्टर प्रतिरोध में ऑडियो सिग्नल वोल्टेज 2 V है। मान लीजिए कि ट्रांजिस्टर का वर्तमान प्रवर्धन कारक 100 है, तो इनपुट सिग्नल वोल्टेज और बेस करंट ज्ञात करें, यदि आधार प्रतिरोध है 1 किलो
उत्तर:

प्रश्न 10.
दो एम्पलीफायरों को एक के बाद एक श्रृंखला (कैस्केड) में जोड़ा जाता है। पहले एम्पलीफायर में 10 का वोल्टेज लाभ होता है और दूसरे में 20 का वोल्टेज लाभ होता है। यदि इनपुट सिग्नल 0.01 वोल्ट है, तो आउटपुट एसी सिग्नल की गणना करें।
उत्तर:

प्रश्न 11.
2.8 eV के बैंडगैप वाले सेमीकंडक्टर से एक pn फोटोडायोड का निर्माण किया जाता है। क्या यह 6000 एनएम की तरंग दैर्ध्य का पता लगा सकता है?
उत्तर:

चूंकि प्रकाश फोटॉन की ऊर्जा pn डायोड की बैंडगैप ऊर्जा से कम है, इसलिए इसका पता नहीं लगाया जा सकता है।
प्रश्न 12.
प्रति एम3सिलिकॉन परमाणुओं की संख्या5 x 1028 है। यहआर्सेनिक के५ x १०२२परमाणु प्रति एम३औरइंडियम के५ x १०२०प्रति एम३परमाणुओं केसाथ एक साथ डोप किया जाता है। इलेक्ट्रॉनों और छिद्रों की संख्या की गणना करें। दिया गया है कि ni= 1.5 x 1016m-3। सामग्री एन-टाइप या पी-टाइप है?
उत्तर:

प्रश्न 13.
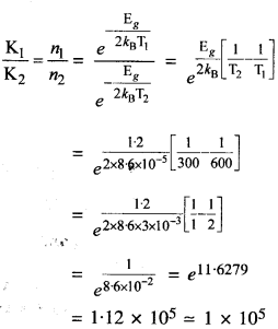
एक आंतरिक अर्धचालक में, ऊर्जा अंतराल Eg1.2 ईवी है। इसकी छिद्र गतिशीलता इलेक्ट्रॉन गतिशीलता से बहुत छोटी और तापमान से स्वतंत्र होती है। 600 K पर चालकता और 300 K पर चालकता के बीच का अनुपात क्या है? मान लें कि आंतरिक वाहक सांद्रता n i की तापमान निर्भरता उत्तर द्वारा दी गई है

:

इस प्रकार, तापमान में वृद्धि के साथ अर्धचालक की चालकता बढ़ जाती है।
प्रश्न 14.
एक Pn जंक्शन डायोड में, धारा I को इस रूप में व्यक्त किया जा सकता है

जहाँ I0विपरीत संतृप्ति धारा है। V डायोड में वोल्टेज है और फॉरवर्ड बायस के लिए पॉजिटिव है और रिवर्स बायस के लिए नेगेटिव है, और I डायोड के माध्यम से करंट है, KB बोल्ट्जमैन कॉन्स्टेंट (8.6 x 10-5eV/K) है और T निरपेक्ष तापमान है . यदि दिए गए डायोड I0= 5 x 10-12A और T = 300 K के लिए, तो
(a) 0.6 V के अग्रेषण वोल्टेज पर आगे की धारा क्या होगी?
(b) यदि डायोड के आर-पार वोल्टेज बढ़ाकर 0.7 V कर दिया जाए तो धारा में क्या वृद्धि होगी?
(सी) गतिशील प्रतिरोध क्या है?
(डी) यदि रिवर्स बायस वोल्टेज 1 वी से 2 वी में बदल जाता है तो करंट क्या होगा?
उत्तर:
दिए गए प्रश्न का कथन गलत है। रिश्ता होना चाहिए
प्रश्न 15.
चित्र में दर्शाए अनुसार आपको दो परिपथ दिए गए हैं। दिखाएँ कि सर्किट (ए) OR गेट के रूप में कार्य करता है जबकि सर्किट (बी) AND गेट के रूप में कार्य करता है।

उत्तर:

प्रश्न 16.
चित्र में दिए गए अनुसार कनेक्टेड NAND गेट के लिए सत्य तालिका लिखें। इसलिए इन सर्किटों द्वारा किए गए सटीक लॉजिक ऑपरेशन की पहचान करें।

उत्तर
सत्य तालिका में दिखाए गए NAND गेट में केवल एक इनपुट होता है। इसलिए, सत्य तालिका है
| ए | ए | वाई = ए . एमैं |
| 0 | 0 | 1 |
| 1 | 1 | 0 |
चूंकि वाई = एमैं इस मामले में, सर्किट वास्तव में सत्य तालिका के साथ एक गेट नहीं है
| ए | तथा |
| 0 | 1 |
| 1 | 0 |
प्रश्न 17.
आपको चित्र में दर्शाए अनुसार दो परिपथ दिए गए हैं, जिनमें NAND द्वार हैं। दो सर्किटों द्वारा किए गए तर्क संचालन की पहचान करें।

उत्तर:

प्रश्न 18।
नीचे दिए गए चित्र में दिए गए सर्किट के लिए सत्य तालिका लिखें, जिसमें NOR गेट शामिल हैं और लॉजिक ऑपरेशन (OR, AND, NOT) की पहचान करें जो यह सर्किट कर रहा है।

उत्तर:
मान लीजिए y1वह आउटपुट है जो NOR गेट के पहले ऑपरेशन में दिखाई देता है।

| ए | बी | तथा |
| 0 | 0 | 0 |
| 1 | 0 | 1 |
| 0 | 1 | 1 |
| 1 | 1 | 1 |
प्रश्न 19.
केवल NOR गेट वाले परिपथों में दिए गए परिपथों के लिए सत्य तालिका लिखिए। दो सर्किटों द्वारा किए गए तर्क संचालन (या, और, नहीं) की पहचान करें

उत्तर:

हम उम्मीद करते हैं कि एनसीईआरटी सोलूशन्स क्लास 12 भौतिकी चैप्टर 14 इलेक्ट्रॉनिक उपकरण आपके लिए मददगार साबित होंगे। यदि आपके पास एनसीईआरटी सोलूशन्स क्लास 12 भौतिकी चैप्टर 14 इलेक्ट्रॉनिक्स डिवाइसेस के बारे में कोई प्रश्न हैं, तो नीचे कमेंट करें और हम आपसे जल्द से जल्द संपर्क करेंगे।
