एनसीईआरटी समाधान कक्षा 12 भौतिकी अध्याय 13 नाभिक कक्षा 12 भौतिकी के लिए एनसीईआरटी समाधान का हिस्सा हैं । यहां हमने दिया है। एनसीईआरटी सोलूशन्स क्लास 12 भौतिकी चैप्टर 13 नाभिक
NCERT Solutions for Class 12 Physics Chapter 13 Nuclei
| तख़्ता | सीबीएसई |
| पाठयपुस्तक | NCERT |
| कक्षा | कक्षा 12 |
| विषय | भौतिक विज्ञान |
| अध्याय | अध्याय 13 |
| अध्याय का नाम | नाभिक |
| हल किए गए प्रश्नों की संख्या | 31 |
| श्रेणी | NCERT Solutions |
प्रश्न 1.
(a) लीथियम के दो स्थायी समस्थानिक63एल मैं तथा 73एल मैं क्रमशः 7.5% और 92.5% की बहुतायत है। इन समस्थानिकों का द्रव्यमान क्रमशः 6.01512 u और 7.01600 u है। लिथियम का परमाणु भार ज्ञात कीजिए।
(बी) बोरॉन के दो स्थिर आइसोटोप हैं105एल मैं तथा 1 15एल मैं . उनका संबंधित द्रव्यमान 10.01294 u और 11.00931 u है और बोरॉन का परमाणु भार 10.811 u है। बहुतायत का पता लगाएं105एल मैं तथा
1 15एल मैं
उत्तर:
(ए) लिथियम का परमाणु भार

प्रश्न 2.
नियॉन के तीन स्थिर समस्थानिक:1020एनइ तथा 1022एनइ क्रमशः 90.51%, 0.27% और 9.22% की बहुतायत है। तीन समस्थानिकों के परमाणु द्रव्यमान क्रमशः 19.99 u, 20.99 u और 21.99 u हैं। नियॉन का औसत परमाणु द्रव्यमान ज्ञात कीजिए।
उत्तर:

प्रश्न 3.
एक नाइट्रोजन नाभिक की बाध्यकारी ऊर्जा प्राप्त करें (147एन) निम्नलिखित डेटा से:
एम एच = 1.00783 यू
एम एन = 1.00867 यू
एम एन = 14.00307 यू
मेव में अपना जवाब दें।
उत्तर:

प्रश्न 4.
नाभिकों की बंधन ऊर्जा ज्ञात कीजिए5626एफइऔर
की इकाइयों में20983बी मैंनिम्नलिखित डेटा से:
एम एच =1007825यू
एम एन =1008665यू
मीटर (5626एफइ)= 55.934939 यू
एम (20983बी मैं)
प्रति न्यूक्लियॉन किस नाभिक में अधिक बाध्यकारी ऊर्जा होती है?
उत्तर:

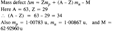
प्रश्न 5.
एक सिक्के का द्रव्यमान 3.0 g है। सभी न्यूट्रॉन और प्रोटॉन को एक दूसरे से अलग करने के लिए आवश्यक परमाणु ऊर्जा की गणना करें। सादगी के लिए मान लें कि सिक्का पूरी तरह से बना है6329सीतुमपरमाणु (द्रव्यमान 62.92960 यू)। प्रोटॉन और न्यूट्रॉन के द्रव्यमान क्रमशः 1.00783 u और 1.00867 u हैं।
उत्तर:


प्रश्न 6.
:
(a) के α-क्षय केलिए परमाणु समीकरण लिखिए226८६आर ए
(बी) के β – – क्षय3215पी
(सी) β + – का क्षय 1 16पी
उत्तर:

प्रश्न 7.
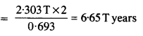
एक रेडियोधर्मी समस्थानिक की अर्ध-आयु T वर्ष होती है। कितने समय के बाद इसकी गतिविधि इसकी मूल गतिविधि के 3.125% तक कम हो जाती है (बी) मूल मूल्य का 1%?
उत्तर:


प्रश्न 8.
कार्बन के प्रत्येक ग्राम के लिए जीवित कार्बन युक्त पदार्थ की सामान्य गतिविधि लगभग 15 क्षय प्रति मिनट पाई जाती है। यह गतिविधि रेडियोधर्मी के छोटे अनुपात से उत्पन्न होती है146सी स्थिर कार्बन समस्थानिक के साथ उपस्थित
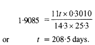
612सी जब जीव मर जाता है, तो वातावरण के साथ उसकी अंतःक्रिया (जो उपरोक्त संतुलन गतिविधि को बनाए रखती है) बंद हो जाती है और उसकी गतिविधि कम होने लगती है। ज्ञात अर्ध-जीवन (5730 वर्ष) से146सी, और मापी गई गतिविधि, नमूने की आयु का लगभग अनुमान लगाया जा सकता है। यह का सिद्धांत है146सीपुरातत्व में इस्तेमाल डेटिंग. मान लीजिए मोहनजोदड़ो का एक नमूना कार्बन के प्रति ग्राम 9 क्षय प्रति मिनट की गतिविधि देता है। सिंधु-घाटी सभ्यता की अनुमानित आयु का अनुमान लगाएं।
उत्तर:

प्रश्न 9.
की राशि ज्ञात कीजिए60२७सीहे8.0 एमसीआई शक्ति का रेडियोधर्मी स्रोत प्रदान करने के लिए आवश्यक है। आधा जीवन60२७सीहे5.3 वर्ष है।
उत्तर:


प्रश्न 10.
का आधा जीवन9038एसआर28 वर्ष है। इस आइसोटोप की 15 मिलीग्राम की विघटन दर क्या है?
उत्तर:

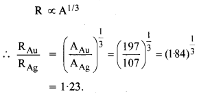
प्रश्न 11.
स्वर्ण समस्थानिक की नाभिकीय त्रिज्याओं का अनुपात लगभग ज्ञात कीजिए१९७79करने के लिए यू और चांदी का समस्थानिक १०७47करने के लिए यू.
उत्तर:

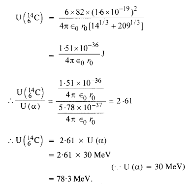
प्रश्न 12.

उत्तर:
![]()

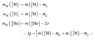
प्रश्न 13.

उत्तर:

यहाँ m N का अर्थ तत्व या कण का नाभिकीय द्रव्यमान है। क्यू मान को परमाणु द्रव्यमान के रूप में व्यक्त करने के लिए, 6 मीटर ई द्रव्यमान को परमाणु द्रव्यमान से घटाना पड़ता है1 16करने के लिए यू और 5 m e द्रव्यमान होना चाहिए
प्रश्न 14.
केन्द्रक2310एनइβ~ उत्सर्जन से क्षय होता है। p-क्षय समीकरण लिखिए और उत्सर्जित इलेक्ट्रॉनों की अधिकतम गतिज ऊर्जा ज्ञात कीजिए। दिया गया है कि:
एम (2310एसआर) = २२.९९४४६६ यू
एम (231 1एसआर) = 22.989770 यू.
उत्तर:

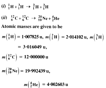
प्रश्न 15.
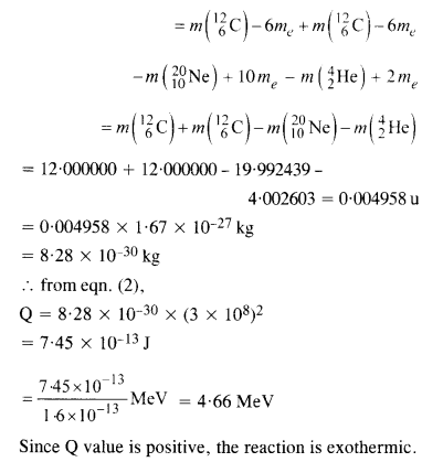
परमाणु अभिक्रिया A + b ⇒ C + d का Q मान [Q = mA+ mb-mc– md] c2द्वारा परिभाषित किया जाता है,जहां द्रव्यमान परमाणु विराम द्रव्यमान को संदर्भित करता है। दिए गए डेटा से निर्धारित करें कि क्या निम्नलिखित प्रतिक्रियाएं एक्ज़ोथिर्मिक या एंडोथर्मिक हैं।

उत्तर:



प्रश्न 16.
मान लीजिए, हम a के विखंडन के बारे में सोचते हैं5626एफइ केन्द्रक को दो बराबर भागों में विभाजित करता है, यदि 28१३एक ली. क्या विखंडन ऊर्जावान रूप से संभव है? प्रक्रिया का Q निकालकर तर्क करें। दिया गया, मी (5626एफइ) = ५५.९३४९४ यू और एम (28१३एक ली)= 27.98191
उत्तर:
![]()

प्रश्न 17.
के विखंडन गुण23994पीतुम के बहुत समान हैं २३५92तुमयू प्रति विखंडन जारी औसत ऊर्जा 180 MeV है। MeV में कितनी ऊर्जा निकलती है, यदि 1 किलो शुद्ध में सभी परमाणु
23994पीतुमविखंडन से गुजरना?
उत्तर:

Question 18.
एक 1000 मेगावाट का विखंडन रिएक्टर अपने आधे ईंधन की खपत 5.00 y में करता है। कितना
२३५92तुमक्या इसमें शुरू में शामिल था? मान लें कि उत्पन्न सभी ऊर्जा के विखंडन से उत्पन्न होती है२३५92तुम और यह कि विखंडन प्रक्रिया द्वारा इस न्यूक्लाइड का उपभोग किया जाता है।
उत्तर:


प्रश्न 19.
2.0 किग्रा ड्यूटेरियम के संलयन से 100 वाट के विद्युत लैम्प को कितने समय तक जलते रखा जा सकता है? संलयन प्रतिक्रिया को उत्तर के रूप में लिया जा सकता है
![]()
:

प्रश्न 20.
दो ड्यूटरॉनों के टकराने पर सिर के लिए कूलम्ब बैरियर की ऊँचाई की गणना कीजिए। ड्यूटेरॉन की प्रभावी त्रिज्या 2.0 fm ली जा सकती है।
उत्तर:
टक्कर से पहले दो ड्यूट्रॉन की प्रारंभिक यांत्रिक ऊर्जा E,
E = 2 KEद्वारा दी गई है

प्रश्न 21.
संबंध R = R0 A1/3 से, जहां R0 एक स्थिरांक है और A नाभिक की द्रव्यमान संख्या है, दर्शाइए कि नाभिकीय पदार्थ का घनत्व लगभग स्थिर है (अर्थात A से स्वतंत्र)
उत्तर:

प्रश्न 22. एक नाभिक से
β+(पॉज़िट्रॉन) उत्सर्जन के लिए, एक अन्य प्रतिस्पर्धी प्रक्रिया है जिसे इलेक्ट्रॉन कैप्चर के रूप में जाना जाता है (एक आंतरिक कक्षा से इलेक्ट्रॉन, जैसे, K- शेल, नाभिक द्वारा कब्जा कर लिया जाता है और एक न्यूट्रिनो उत्सर्जित होता है)।
![]()
दिखाएँ कि यदि β+ उत्सर्जन को ऊर्जावान रूप से अनुमति दी जाती है, तो आवश्यक रूप से इलेक्ट्रॉन कैप्चर की अनुमति है लेकिन इसके विपरीत नहीं
उत्तर:


Question 23.
एक आवर्त सारणी में मैग्नीशियम का औसत परमाणु द्रव्यमान 24.312 u के रूप में दिया गया है। औसत मूल्य पृथ्वी पर उनके सापेक्ष प्राकृतिक बहुतायत पर आधारित है। तीन समस्थानिक और उनके द्रव्यमान हैं2412एमजी (२३.९८५०४यू), ? 2512एमजी (२४.९८५८४) और 2612एमजी(२५.९८२५९यू)। की प्राकृतिक बहुतायत2412एमजी द्रव्यमान से 78.99% है। अन्य दो समस्थानिकों की बहुतायत की गणना करें।
उत्तर:


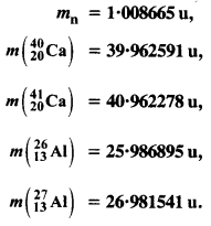
Question 24.
न्यूट्रॉन पृथक्करण ऊर्जा को नाभिक से न्यूट्रॉन को निकालने के लिए आवश्यक ऊर्जा के रूप में परिभाषित किया गया है। नाभिक की न्यूट्रॉन पृथक्करण ऊर्जा प्राप्त करें2412सीए तथा २७१३एक लीनिम्नलिखित डेटा से:

उत्तर:

प्रश्न 25.

उत्तर:


प्रश्न 26.
कुछ परिस्थितियों में, एक α-कण से अधिक द्रव्यमान वाले कण का उत्सर्जन करके एक नाभिक क्षय हो सकता है। निम्नलिखित क्षय प्रक्रियाओं पर विचार करें:
![]()
(ए) इन क्षय के लिए क्यू मूल्यों की गणना करें और निर्धारित करें कि दोनों ऊर्जावान रूप से संभव हैं।
(बी) α-कण के लिए कूलम्ब बाधा ऊंचाई

उत्तर:




प्रश्न 27.
के विखंडन पर विचार कीजिए23992तुमतेजी से न्यूट्रॉन द्वारा। एक विखंडन घटना में, कोई न्यूट्रॉन उत्सर्जित नहीं होता है और अंतिम स्थिर अंत उत्पाद, प्राथमिक अंशों के बीटा-क्षय के बाद, होते हैं14058सीइ तथा 9944आर यू. इस विखंडन प्रक्रिया के लिए Q की गणना करें। प्रासंगिक परमाणु और कण द्रव्यमान ![]()

उत्तर:

प्रश्न 28.
समीकरण में दी गई DT अभिक्रिया (ड्यूटेरियम-ट्रिटियम-संलयन) पर विचार कीजिए। :

(बी)ड्यूटेरियम और ट्रिटियम दोनों की त्रिज्या लगभग 1.5 fm पर विचार करें। कूलम्ब प्रतिकर्षण को दूर करने के लिए आवश्यक गतिज ऊर्जा क्या है? प्रतिक्रिया शुरू करने के लिए गैसों को किस तापमान पर गर्म किया जाना चाहिए?
उत्तर
प्रश्न में दिए गए समीकरण से,

mN, कोष्ठक में दिए गए तत्व के परमाणु द्रव्यमान और mn= न्यूट्रॉन के द्रव्यमान कोदर्शाता है। यदि में परमाणु द्रव्यमान का प्रतिनिधित्व करता है, तो


प्रश्न 29।
निम्नलिखित क्षय योजना में p-कणों की अधिकतम गतिज ऊर्जा और y क्षय के लिए विकिरण आवृत्तियों को प्राप्त करें। आपको दिया गया है कि
m (198 .)Au) = १९७.९६८२३३ u
m ( १९८ Hg) = १९७.९६६७६० u
उत्तर:
के परिवर्तन के लिए जारी कुल ऊर्जा19879करने के लिए यू प्रति 19880तुम -किरणों की ऊर्जाओं पर विचार करके पाया जा सकता है। हम सबसे पहले उत्सर्जित -किरणों की आवृत्तियों का पता लगाते हैं।



प्रश्न 30.
(a) सूर्य के भीतर 1.0 किग्रा हाइड्रोजन के गहरे संलयन और (b) एक विखंडन रिएक्टर में 1.0 किग्रा 235 U के विखंडन द्वारा जारी ऊर्जा की गणना और तुलना करें ।
उत्तर:


प्रश्न 31.
मान लीजिए कि भारत का 2020 ईस्वी तक उत्पादन का लक्ष्य था, 200,000 मेगावाट बिजली, जिसका दस प्रतिशत परमाणु ऊर्जा संयंत्र से प्राप्त किया जाना था। मान लीजिए हमें दिया गया है कि, एक रिएक्टर में उत्पादित तापीय ऊर्जा के उपयोग (यानी, विद्युत ऊर्जा में रूपांतरण) की औसतन दक्षता 25% थी। 2000 तक हमारे देश को प्रति वर्ष कितनी मात्रा में विखंडनीय यूरेनियम की आवश्यकता थी? 235U केप्रति विखंडन की ऊष्मा ऊर्जाको लगभग 200 MeV लें। अवोगाद्रो की संख्या = 6.023 x 1023मोल-1।
उत्तर:


हम उम्मीद करते हैं कि हम उम्मीद करते हैं कि एनसीईआरटी सोलूशन्स क्लास 12 भौतिकी चैप्टर 13 नाभिक आपके लिए मददगार साबित होंगे। यदि आपके पास एनसीईआरटी सोलूशन्स क्लास 12 भौतिकी चैप्टर 13 नाभिक के बारे में कोई प्रश्न हैं, तो नीचे कमेंट करें और हम आपसे जल्द से जल्द संपर्क करेंगे।
