कक्षा 12 भौतिकी के लिए एनसीईआरटी समाधान अध्याय 12 परमाणु कक्षा 12 भौतिकी के लिए एनसीईआरटी समाधान का हिस्सा हैं । यहां हमने दिया है। कक्षा 12 भौतिकी अध्याय 12 परमाणु के लिए एनसीईआरटी समाधान।
NCERT Solutions for Class 12 Physics Chapter 12 Atoms
| तख़्ता | सीबीएसई |
| पाठयपुस्तक | NCERT |
| कक्षा | कक्षा 12 |
| विषय | भौतिक विज्ञान |
| अध्याय | अध्याय 12 |
| अध्याय का नाम | परमाणुओं |
| हल किए गए प्रश्नों की संख्या | 17 |
| श्रेणी | NCERT Solutions |
प्रश्न 1.
प्रत्येक कथन के अंत में दिए गए सुरागों में से सही विकल्प का चयन करें:
- थॉमसन के मॉडल में परमाणु का आकार रदरफोर्ड के मॉडल में परमाणु आकार है। (इससे बहुत अधिक/नहीं/से बहुत कम।)
- जमीनी अवस्था में ……… इलेक्ट्रॉन स्थिर संतुलन में होते हैं, जबकि …………….. में इलेक्ट्रॉनों को हमेशा एक शुद्ध बल का अनुभव होता है। (थॉमसन का मॉडल/रदरफोर्ड का मॉडल।)
- एक शास्त्रीय परमाणु …………… पर आधारित है। पतन के लिए अभिशप्त है। (थॉमसन का मॉडल/रदरफोर्ड का मॉडल।)
- एक परमाणु का ………….. में लगभग निरंतर द्रव्यमान वितरण होता है, लेकिन (थॉमसन के मॉडल/रदरफोर्ड के मॉडल) में अत्यधिक गैर-समान द्रव्यमान वितरण होता है।
- परमाणु के धनावेशित भाग का अधिकांश द्रव्यमान ……….. में होता है। (रदरफोर्ड का मॉडल/दोनों मॉडल।)
उत्तर:
- से अलग नहीं
- थॉमसन का मॉडल; रदरफोर्ड का मॉडल।
- रदरफोर्ड का मॉडल।
- थॉमसन का मॉडल, रदरफोर्ड का मॉडल।
- दोनों मॉडल।
प्रश्न 2.
मान लीजिए कि आपको सोने की पन्नी के स्थान पर ठोस हाइड्रोजन की एक पतली शीट का उपयोग करके अल्फा-कण प्रकीर्णन प्रयोग को दोहराने का मौका दिया जाता है। (हाइड्रोजन 14 K ताप पर ठोस है)। आप किस परिणाम की अपेक्षा करते हैं?
उत्तर:
हाइड्रोजन परमाणु का नाभिक एक प्रोटॉन होता है। इसका द्रव्यमान 1.67 x 10-27किग्रा है, जबकि एक घटना α-कण का द्रव्यमान 6.64 x 10-27किग्रा है। क्योंकि प्रकीर्णन कण लक्ष्य नाभिक (प्रोटॉन) से अधिक विशाल होता है। आमने-सामने की टक्कर में भी α-कण वापस नहीं उछलेगा। यह एक फुटबॉल की तरह है जो आराम से टेनिस बॉल से टकराती है। इस प्रकार, कोई बड़े-कोण प्रकीर्णन नहीं होगा।
प्रश्न 3.
वर्णक्रमीय रेखाओं की पासचेन श्रृंखला में मौजूद सबसे छोटी तरंग दैर्ध्य क्या है?
उत्तर:
पासचेन श्रृंखला बनाने वाली वर्णक्रमीय रेखाओं की तरंग दैर्ध्य किसके द्वारा दी जाती है

प्रश्न 4.
एक परमाणु में 2.3 eV का अंतर दो ऊर्जा स्तरों को अलग करता है। जब परमाणु ऊपरी स्तर से निचले स्तर पर जाता है तो उत्सर्जित विकिरण की आवृत्ति क्या होती है?
उत्तर:

प्रश्न 5.
हाइड्रोजन परमाणु की जमीनी अवस्था ऊर्जा -13.6 eV है। इस अवस्था में इलेक्ट्रॉन की गतिज और स्थितिज ऊर्जाएँ क्या हैं?
उत्तर:
केई = -ई (कुल ऊर्जा)
= -(-13.6) = 13.6 ईवी
पीई = 2 एक्सई = 2 एक्स (-13.6)
= -27.2 ईवी
प्रश्न 6.
एक हाइड्रोजन परमाणु शुरू में जमीनी स्तर पर एक फोटॉन को अवशोषित करता है जो इसे n = 4 स्तर तक उत्तेजित करता है। फोटॉन की तरंग दैर्ध्य और आवृत्ति निर्धारित करें।
उत्तर:
हम जानते हैं, हाइड्रोजन परमाणु की nवीं कक्षा में इलेक्ट्रॉन की ऊर्जा किसके द्वारा दी जाती है?


प्रश्न 7.
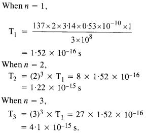
(ए) बोर के मॉडल का उपयोग करते हुए, हाइड्रोजन परमाणु में n = 1, 2, और 3 स्तरों में इलेक्ट्रॉन की गति की गणना करें।
(बी) इनमें से प्रत्येक स्तर में कक्षीय अवधि की गणना करें।
उत्तर:
(ए) हाइड्रोजन परमाणु की n वीं कक्षा में एक इलेक्ट्रॉन की गति किसके द्वारा दी जाती है


प्रश्न 8.
हाइड्रोजन परमाणु की अंतरतम इलेक्ट्रॉन कक्षा की त्रिज्या 5.3 x 10-11मीटर है। n = 2 और n = 3 कक्षाओं की त्रिज्याएँ क्या हैं?
उत्तर:
हम जानते हैं, हाइड्रोजन परमाणु की nवीं कक्षा की त्रिज्या rn= r0n2द्वारा दी जाती है, जहाँ r0= 5.3 x 10-um हाइड्रोजन परमाणु की अंतरतम कक्षा की त्रिज्या है।
जब n = 2, r2= 5.3 x 10-ux 4
= 2.12 x 10-10m
जब n = 3,
= 5.3 x 10-11x 9
= 4.77 x 10-10m।
प्रश्न 9.
कमरे के तापमान पर गैसीय हाइड्रोजन पर बमबारी करने के लिए 12.75 eV इलेक्ट्रॉन बीम का उपयोग किया जाता है। तरंग दैर्ध्य की कौन सी श्रृंखला उत्सर्जित होगी?
उत्तर:


प्रश्न 10.
बोह्र के मॉडल के अनुसार, और क्वांटम संख्या जो सूर्य के चारों ओर 1.5 x 1011मीटरत्रिज्या की कक्षा में
3 x 1014एमएस-1 कीकक्षीय गति के साथपृथ्वी की परिक्रमा को दर्शाती है। (पृथ्वी का द्रव्यमान = 6.0 x 1024किग्रा.)
उत्तर:
बोहर के कोणीय संवेग के परिमाणीकरण की अभिधारणा के अनुसार

प्रश्न 11.
निम्नलिखित प्रश्नों के उत्तर दीजिए , जो आपको थॉमसन के मॉडल और रदरफोर्ड के मॉडल के बीच के अंतर को बेहतर ढंग से समझने में मदद करते हैं।
(ए)क्या थॉमसन के मॉडल द्वारा भविष्यवाणी की गई पतली सोने की पन्नी द्वारा ए-कणों के विक्षेपण का औसत कोण रदरफोर्ड के मॉडल द्वारा भविष्यवाणी की गई तुलना में बहुत कम, लगभग उसी या बहुत अधिक है?
(बी)क्या थॉमसन के मॉडल द्वारा अनुमानित पिछड़े प्रकीर्णन (अर्थात 90° से अधिक कोणों पर ए-कणों का प्रकीर्णन)की प्रायिकता रदरफोर्ड के मॉडल द्वारा की गई भविष्यवाणी की तुलना में बहुत कम, उसी के बारे में, या बहुत अधिक है?
(सी)अन्य कारकों को स्थिर रखते हुए, यह प्रयोगात्मक रूप से पाया गया है कि छोटी मोटाई t के लिए, मध्यम कोणों पर बिखरे हुए a-कणों की संख्या t पर यह रैखिक स्वतंत्रता क्या सुराग प्रदान करती है?
(d) किस मॉडल में एक पतली पन्नी द्वारा a-कणों के प्रकीर्णन के औसत कोण की गणना के लिए बहु प्रकीर्णन को अनदेखा करना पूरी तरह से गलत है?
उत्तर:
(ए) उसी के बारे में
(बी) बहुत कम
(सी) यह सुझाव देता है कि प्रकीर्णन मुख्य रूप से एकल टक्कर के कारण होता है, क्योंकि एकल टक्कर की संभावना लक्ष्य परमाणुओं की संख्या के साथ रैखिक रूप से बढ़ जाती है, और इसलिए मोटाई के साथ रैखिक रूप से बढ़ जाती है .
(डी) थॉमसन के मॉडल में, एक एकल टक्कर बहुत कम विक्षेपण का कारण बनती है। देखे गए औसत प्रकीर्णन कोण को केवल बहु प्रकीर्णन पर विचार करके ही समझाया जा सकता है। अतः थॉमसन मॉडल में बहु प्रकीर्णन की उपेक्षा करना गलत है। रदरफोर्ड के मॉडल में, अधिकांश प्रकीर्णन एक ही टक्कर के माध्यम से आता है और कई प्रकीर्णन प्रभावों को पहले सन्निकटन के रूप में अनदेखा किया जा सकता है।
Question 12.
हाइड्रोजन परमाणु में इलेक्ट्रॉन और प्रोटॉन के बीच गुरुत्वाकर्षण आकर्षण कूलम्ब आकर्षण से लगभग 10-40 केकारक से कमजोर होता है। इस तथ्य को देखने का एक वैकल्पिक तरीका हाइड्रोजन परमाणु की पहली बोहर कक्षा की त्रिज्या का अनुमान लगाना है यदि इलेक्ट्रॉन और प्रोटॉन गुरुत्वाकर्षण आकर्षण से बंधे थे। आपको जवाब दिलचस्प लगेगा।
उत्तर:
यदि इलेक्ट्रॉन और प्रोटॉन गुरुत्वाकर्षण आकर्षण से बंधे थे, तो

यह आश्चर्यजनक है कि r का यह मान ब्रह्मांड के आकार से बहुत अधिक है।
प्रश्न 13.
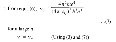
विकिरण की आवृत्ति उत्सर्जित के लिए एक अभिव्यक्ति प्राप्त जब एक हाइड्रोजन परमाणु
स्तर से de-उत्तेजितयहस्तर तक (n – 1)। बड़े पैमाने परयहदर्शाता है कि यह आवृत्ति कक्षा में इलेक्ट्रॉन की क्रांति की शास्त्रीय आवृत्ति के बराबर होती है।
उत्तर:
हाइड्रोजन परमाणु की nवीं कक्षा में इलेक्ट्रॉन की ऊर्जा किसके द्वारा दी जाती है?



यानी आवृत्तियां बराबर हैं। इसे बोहर का पत्राचार सिद्धांत कहते हैं।
प्रश्न 14.
शास्त्रीय रूप से, एक इलेक्ट्रॉन परमाणु के नाभिक के चारों ओर किसी भी कक्षा में हो सकता है। फिर विशिष्ट परमाणु आकार क्या निर्धारित करता है? एक परमाणु अपने सामान्य आकार से हजार गुना बड़ा क्यों नहीं होता है? परमाणु के अपने प्रसिद्ध मॉडल पर पहुंचने से पहले इस प्रश्न ने बोहर को बहुत हैरान कर दिया था जिसे आपने पाठ में पढ़ा था। अपनी खोज से पहले उन्होंने जो कुछ अच्छा किया हो, उसे प्रोत्साहित करने के लिए, आइए हम प्रकृति के मूल स्थिरांक के साथ निम्नानुसार खेलें और देखें कि क्या हम लंबाई के आयामों के साथ एक मात्रा प्राप्त कर सकते हैं जो लगभग एक परमाणु के ज्ञात आकार के बराबर है (~ 10) –10मीटर)।
(ए) मौलिक स्थिरांक ई, एमई, और सीसे लंबाई के आयामों के साथ एक मात्रा का निर्माण करें। इसका संख्यात्मक मान ज्ञात कीजिए।
(बी) आप पाएंगे कि («) में प्राप्त लंबाई परमाणु आयामों से कम परिमाण के कई आदेशों में है। इसके अलावा, इसमें सी. लेकिन परमाणुओं की ऊर्जाएं ज्यादातर गैर-सापेक्ष क्षेत्र में होती हैं, जहां c से कोई भूमिका निभाने की उम्मीद नहीं होती है। सही परमाणु आकार प्राप्त करने के लिए बोहर ने सी को त्यागने और कुछ और देखने का सुझाव दिया हो सकता है। अब, प्लैंक का स्थिरांक h पहले ही कहीं और प्रकट हो चुका था। बोहर की महान अंतर्दृष्टि यह पहचानने में निहित है कि h, m e , और e सही परमाणु आकार देंगे। h, m g , और e से लंबाई के आयाम के साथ एक मात्रा की रचना करें और पुष्टि करें कि इसके संख्यात्मक मान में परिमाण का सही क्रम है।
उत्तर:
(ए) यहां, ई का आयामी सूत्र ए 1 टी 1 . है, एम ई का आयामी सूत्र एम 1 है , आयामी सूत्र


प्रश्न 15.
हाइड्रोजन परमाणु की प्रथम उत्तेजित अवस्था में एक इलेक्ट्रॉन की कुल ऊर्जा लगभग -3.4 eV होती है।
(ए) इस राज्य में इलेक्ट्रॉन की गतिज ऊर्जा क्या है?
(बी) इस राज्य में इलेक्ट्रॉन की संभावित ऊर्जा क्या है?
(सी) यदि संभावित ऊर्जा के शून्य का विकल्प बदल दिया जाता है तो उपरोक्त में से कौन सा उत्तर बदल जाएगा?
उत्तर:
(ए)केई = -ई = – (-3.4 ईवी) = 3.4 ईवी
ई। = 2 ई = 2 एक्स (-3.4 ईवी)
= -6.8 ईवी
(बी)गतिज ऊर्जा शून्य संभावित ऊर्जा की पसंद पर निर्भर नहीं करती है . इसलिए, इसका मूल्य अपरिवर्तित रहता है। हालांकि, संभावित ऊर्जा के शून्य स्तरों में परिवर्तन के साथ संभावित ऊर्जा बदल जाती है।
प्रश्न 16.
यदि बोहर का परिमाणीकरण अभिगृहीत (कोणीय संवेग = nh/2π) प्रकृति का एक बुनियादी नियम है, तो यह ग्रहों की गति के मामले में भी समान रूप से मान्य होना चाहिए। फिर हम सूर्य के चारों ओर ग्रहों की कक्षाओं के परिमाणीकरण की बात क्यों नहीं करते?
उत्तर:
बोहर के परिमाणीकरण अभिधारणा को लागू करना,

अर्थात n बहुत बड़ा है। चूँकि n बहुत बड़ा है, दो क्रमिक ऊर्जा या कोणीय संवेग स्तरों के बीच का अंतर बहुत छोटा है और स्तरों को निरंतर माना जा सकता है।

प्रश्न 17.
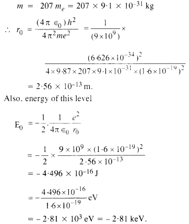
एक ‘म्यूऑनिक हाइड्रोजन परमाणु’ (अर्थात् एक परमाणु जिसमें एक ऋणात्मक आवेशित म्यूऑन (μ-1) द्रव्यमान का लगभग 207 meएक प्रोटॉन के चारों ओर परिक्रमा करता है) कीप्रथम बोहर त्रिज्या और जमीनी अवस्था ऊर्जा प्राप्त करें।
उत्तर:
यहाँ प्रोटॉन के चारों ओर घूमने वाले कण का द्रव्यमान है

हम उम्मीद करते हैं कि एनसीईआरटी सोलूशन्स क्लास 12 भौतिकी चैप्टर 12 परमाणु आपके लिए मददगार साबित होंगे। यदि आपके पास कक्षा 12 भौतिकी अध्याय 12 परमाणुओं के लिए एनसीईआरटी समाधान के बारे में कोई प्रश्न हैं, तो नीचे एक टिप्पणी करें और हम जल्द से जल्द आपसे संपर्क करेंगे।
