कक्षा 12 भौतिकी के लिए एनसीईआरटी समाधान अध्याय 11 विकिरण और पदार्थ की दोहरी प्रकृति कक्षा 12 भौतिकी के लिए एनसीईआरटी समाधान का हिस्सा हैं । यहां हमने दिया है। कक्षा 12 भौतिकी अध्याय 11 के लिए एनसीईआरटी समाधान विकिरण और पदार्थ की दोहरी प्रकृति
NCERT Solutions for Class 12 Physics Chapter 11 Dual Nature of Radiation and Matter
| तख़्ता | सीबीएसई |
| पाठयपुस्तक | NCERT |
| कक्षा | कक्षा 12 |
| विषय | भौतिक विज्ञान |
| अध्याय | अध्याय 11 |
| अध्याय का नाम | विकिरण और पदार्थ की दोहरी प्रकृति |
| हल किए गए प्रश्नों की संख्या | 37 |
| श्रेणी | NCERT Solutions |
प्रश्न 1. 30 केवी इलेक्ट्रॉनों द्वारा उत्पादित एक्स-रे
की
(ए) अधिकतम आवृत्ति, और
(बी) न्यूनतम तरंग दैर्ध्य खोजें।
उत्तर:

प्रश्न 2.
सीज़ियम धातु का कार्य फलन 2.14 eV है। जबधातु की सतह परआवृत्ति 6 x 1014हर्ट्ज काप्रकाशआपतित होता है, तो इलेक्ट्रॉनों काप्रकाशउत्सर्जन होता है। क्या है
(а) अधिकतम उत्सर्जित इलेक्ट्रॉनों की गतिज ऊर्जा,
(ख) को रोकने की क्षमता, और
(ग) उत्सर्जित तस्वीर इलेक्ट्रॉनों की अधिकतम गति?
उत्तर:


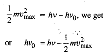
प्रश्न 3.
एक निश्चित प्रयोग में फोटोइलेक्ट्रिक कट-ऑफ वोल्टेज 1.5 V है। उत्सर्जित फोटोइलेक्ट्रॉनों की अधिकतम गतिज ऊर्जा क्या है?
उत्तर:
V0= 1.5 V
उत्सर्जित इलेक्ट्रॉनों की अधिकतम गतिज ऊर्जा,
12एमवी2एम ए एक्स= ईवी0= १.५ जे = १५ ई वी
प्रश्न 4.
632.8 एनएम तरंग दैर्ध्य का मोनोक्रोमैटिक प्रकाश हीलियम-नियॉन लेजर द्वारा निर्मित होता है। उत्सर्जित शक्ति 9.42 मेगावाट है।
(ए) प्रकाश किरण में प्रत्येक फोटॉन की ऊर्जा और गति का पता लगाएं।
(बी) इस बीम द्वारा विकिरणित लक्ष्य पर औसतन प्रति सेकंड कितने फोटॉन पहुंचते हैं? (मान लें कि बीम में एक समान क्रॉस-सेक्शन है जो लक्ष्य क्षेत्र से कम है), और
(सी) फोटॉन के समान गति रखने के लिए हाइड्रोजन परमाणु को कितनी तेजी से यात्रा करना पड़ता है?
उत्तर:
दिया गया है, = 632.8 nm = 632.8 x 10-9m
शक्ति, P = 9.42 mW = 9.42 x 10-3W


प्रश्न 5.
पृथ्वी की सतह तक पहुँचने वाले सूर्य के प्रकाश का ऊर्जा प्रवाह 1.388 x 103W/m है२ . पृथ्वी पर प्रति सेकंड कितने फोटॉन (लगभग) प्रति वर्ग मीटर आपतित होते हैं? मान लें कि सूर्य के प्रकाश में फोटॉन की औसत तरंग दैर्ध्य 550 एनएम है।
उत्तर:

प्रश्न 6.
प्रकाश-विद्युत प्रभाव पर एक प्रयोग में, कट-ऑफ वोल्टेज बनाम आपतित प्रकाश की आवृत्ति का ढलान 4.12 x 10-15V sपाया गया है। प्लैंक स्थिरांक के मान की गणना कीजिए।
उत्तर:

प्रश्न 7.
एक 100 वाट का सोडियम लैंप सभी दिशाओं में समान रूप से ऊर्जा विकीर्ण करता है। दीपक एक बड़े गोले के केंद्र में स्थित है जो उस पर आपतित सभी सोडियम प्रकाश को अवशोषित करता है। सोडियम प्रकाश की तरंग दैर्ध्य 589 एनएम है।
(ए) सोडियम प्रकाश से जुड़ी प्रति फोटान ऊर्जा क्या है?
(b) फोटानों को गोले में किस दर पर पहुँचाया जाता है?
उत्तर:
सोडियम लैंप की शक्ति,
P = 100 W

प्रश्न 8.
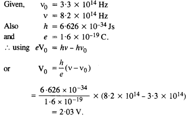
एक निश्चित धातु के लिए दहलीज आवृत्ति 3.3 x 10 . है14 हर्ट्ज। यदि आवृत्ति का प्रकाश 8.2 x 10 14 हर्ट्ज धातु पर आपतित होता है, तो फोटोइलेक्ट्रिक उत्सर्जन के लिए कट-ऑफ वोल्टेज की भविष्यवाणी करें।
उत्तर:

प्रश्न 9.
किसी धातु का कार्य फलन 4.2 eV है। क्या यह धातु 330 nm तरंगदैर्घ्य के आपतित विकिरण के लिए प्रकाश-विद्युत उत्सर्जन देगी?
उत्तर:

चूँकि आपतित विकिरण की ऊर्जा धातु के कार्य फलन (4.2 eV) से कम है, अत: दी गई धातु से प्रकाश-विद्युत उत्सर्जन नहीं हो सकता। ११.१०
प्रश्न 10.
आवृत्ति का प्रकाश 7.21 x 1014Hz धातु की सतह पर आपतित होता है। 6.0 x 105मीटर/सेकेंड कीअधिकतम गति वाले इलेक्ट्रॉनोंको सतह से बाहर निकाल दिया जाता है। इलेक्ट्रॉनों के प्रकाश उत्सर्जन के लिए दहलीज आवृत्ति क्या है?
उत्तर:
संबंध का उपयोग करना


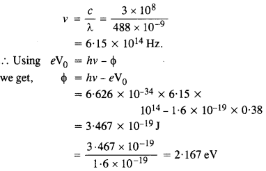
प्रश्न 11.
488 nm तरंगदैर्घ्य का प्रकाश एक आर्गन लेजर द्वारा उत्पन्न होता है जिसका उपयोग प्रकाश-विद्युत प्रभाव में किया जाता है। जब इस वर्णक्रमीय रेखा से प्रकाश कैथोड पर आपतित होता है, तो फोटोइलेक्ट्रॉनों का रुकना (कट-ऑफ) विभव 0.38 V होता है। उस सामग्री का कार्य फलन ज्ञात कीजिए जिससे कैथोड बनाया गया है।
उत्तर:

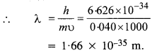
प्रश्न १२. (a) संवेग, और (b) ५६ V के संभावित अंतर से त्वरित किए गए इलेक्ट्रॉनों की डे ब्रोगली तरंग दैर्ध्य की
गणना करें। उत्तर: V = ५६ V दिया गया है।(a)इलेक्ट्रॉन का संवेग प्रश्न १३। 120 eV की गतिज ऊर्जा वाले इलेक्ट्रॉन का (a) संवेग, (b) गति और(c) डी ब्रोगली तरंगदैर्घ्य क्या है?

उत्तर:
यहाँ, E = 120 eV = 120 x 1.6 x 10 -19 J
= 1.92 x 10- 17 J

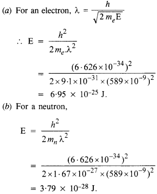
Question 14.
सोडियम की वर्णक्रमीय उत्सर्जन रेखा से प्रकाश की तरंग दैर्ध्य 589 एनएम है। गतिज ऊर्जा का पता लगाएं जिस पर
(ए) एक इलेक्ट्रॉन, और
(बी) एक न्यूट्रॉन में समान डी ब्रोगली तरंग दैर्ध्य होगा।
उत्तर:

प्रश्न 15.
क्या डी Broglie की तरंग दैर्ध्य है
(क) बड़े पैमाने पर 0.040 1.0 किमी / एस की गति से यात्रा किलो की एक गोली,
(ख) 1.0 मीटर की रफ्तार से आगे बढ़ रही जन 0.060 किलो की एक गेंद / s, और
( ग) 1.0 x 10-9किग्राद्रव्यमान का धूल का कण2.2 मीटर/सेकेंड की गति से बह रहा है?
उत्तर:
(ए)यहां, एम = 0.040 किग्रा और υ = 1.0 किमी/सेकेंड।
= १००० मी/से


प्रश्न 16.
एक इलेक्ट्रॉन और एक फोटान की तरंगदैर्घ्य 100 nm है। पता लगाएं
(क) उनके momenta,
(ख) फोटोन के ऊर्जा, और
(ग) इलेक्ट्रॉनों की गतिज ऊर्जा।
उत्तर:

प्रश्न 17.
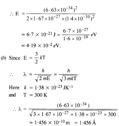
(ए) न्यूट्रॉन की किस गतिज ऊर्जा के लिए संबंधित डी ब्रोगली तरंग दैर्ध्य
1.40 x 10-10मीटर होगी? (सीबीएसई 2008)
(बी) एक न्यूट्रॉन की डी ब्रोगली तरंग दैर्ध्य भी ज्ञात कीजिए, जो पदार्थ के साथ थर्मल संतुलन में है, जिसकी औसत गतिज ऊर्जा है32300 K पर kT।
उत्तर:
(a) यहाँ λ = 1.40 x 10 -10 m साथ
ही, h = 6.63 X 10 -34 Js
और m = 1.67 x 10 -27 kg


प्रश्न 18.
दिखाएँ कि विद्युत चुम्बकीय विकिरण की तरंग दैर्ध्य बराबर है इसकी क्वांटम (फोटॉन) की डी ब्रोगली तरंग दैर्ध्य के लिए।
उत्तर:

प्रश्न 19.
हवा में 300 K पर नाइट्रोजन अणु की डी ब्रोगली तरंग दैर्ध्य क्या है? मान लें कि अणु इस तापमान पर अणुओं की मूल माध्य वर्ग गति से गति कर रहा है। (नाइट्रोजन का परमाणु द्रव्यमान = 14.0076 u)
उत्तर:
नाइट्रोजन के लिए,

प्रश्न 20।
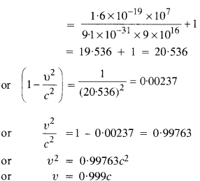
(ए) उस गति का अनुमान लगाएं जिसके साथ एक खाली ट्यूब के गर्म कैथोड से उत्सर्जित इलेक्ट्रॉन 500 वी के संभावित अंतर पर बनाए गए एनोड पर टकराते हैं। कैथोड। इलेक्ट्रॉनों की छोटी प्रारंभिक गति को अनदेखा करें। इलेक्ट्रॉन का ‘विशिष्ट आवेश’ अर्थात उसका एल्म 1.76 x 1011C kg-1 दिया गया है।
(बी) उसी सूत्र का प्रयोग करें जिसे आप नियोजित करते हैं
(ए) 10 एमवी की एनोड क्षमता के लिए इलेक्ट्रॉन गति प्राप्त करने के लिए। क्या आप देखते हैं कि क्या गलत है? सूत्र को किस प्रकार संशोधित किया जाना है?
उत्तर:



प्रश्न 21.
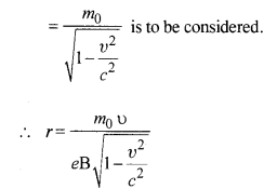
(ए) 5.20 x 10 6 एमएस -1 की इलेक्ट्रॉन गति के साथ एक मोनोएनर्जेटिक इलेक्ट्रॉन बीम बीम वेग के सामान्य एल .30 x 10 -4 टी के चुंबकीय क्षेत्र के अधीन है । इलेक्ट्रॉन के लिए दिया गया एल्म 1.76 X 10 11 C किग्रा -1 के बराबर दिए गए बीम द्वारा ज्ञात वृत्त की त्रिज्या क्या है ?
(बी) क्या आप
(ए) में नियोजित सूत्र 20 MeV इलेक्ट्रॉन बीम के पथ के त्रिज्या की गणना के लिए मान्य है? यदि नहीं, तो इसे किस प्रकार संशोधित किया जाता है?
उत्तर:
(ए) = 5.20 x 10 6 एमएस१
बी = १.३० x १० ४ टी

(बी) भाग (ए) में नियोजित सूत्र मान्य नहीं है क्योंकि वेग में वृद्धि के साथ, द्रव्यमान बदलता रहता है और उपरोक्त सूत्र में हमने एम को स्थिर माना है। इसके बजाय, एम

प्रश्न 22।
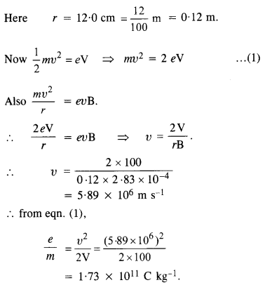
100 वी की क्षमता पर अपने एनोड के साथ एक इलेक्ट्रॉन बंदूक कम दबाव (~ 10 -2 मिमी एचजी) पर हाइड्रोजन गैस युक्त गोलाकार बल्ब में इलेक्ट्रॉनों को निकालती है। 2.83 x 10 4 T का एक चुंबकीय क्षेत्र 12.0 सेमी त्रिज्या की वृत्ताकार कक्षा में इलेक्ट्रॉनों के पथ को वक्रित करता है। (पथ देखा जा सकता है क्योंकि पथ में गैस आयन इलेक्ट्रॉनों को आकर्षित करके और इलेक्ट्रॉन कैप्चर द्वारा प्रकाश उत्सर्जित करके बीम को केंद्रित करते हैं; इस विधि को ‘फाइन बीम ट्यूब’ विधि के रूप में जाना जाता है।) डेटा से ई/एम निर्धारित करें।
उत्तर:

प्रश्न 23.
(ए) एक एक्स-रे ट्यूब विकिरण के एक सतत स्पेक्ट्रम का उत्पादन करती है जिसका लघु तरंगदैर्ध्य अंत (45
) होता है।विकिरण में एक फोटॉन की अधिकतम ऊर्जा क्या होती है?(बी) आपके उत्तर से (ए), लगता है कि (इलेक्ट्रॉनों के लिए) वोल्टेज में तेजी का क्या क्रम में इस तरह के एक ट्यूब में आवश्यक है।
उत्तर:

प्रश्न 24.
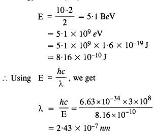
पॉज़िट्रॉन के साथ इलेक्ट्रॉनों के उच्च-ऊर्जा टकराव पर एक त्वरक प्रयोग में, एक निश्चित घटना की व्याख्या कुल ऊर्जा 10.2 BeV के इलेक्ट्रॉन-पॉज़िट्रॉन जोड़े के समान ऊर्जा के दो y-किरणों में विनाश के रूप में की जाती है। प्रत्येक -किरण से संबंधित तरंगदैर्घ्य क्या है? (1 BeV = 109eV)
उत्तर: -किरणों
के युग्म द्वारा वहन
की गई ऊर्जा= 10 .2 BeVप्रत्येक γ किरण की ऊर्जा

प्रश्न 25 है
। निम्नलिखित दो संख्याओं का अनुमान लगाना रोचक होना चाहिए। पहला नंबर आपको बताएगा कि रेडियो इंजीनियरों को फोटॉन के बारे में ज्यादा चिंता करने की जरूरत क्यों नहीं है! दूसरा नंबर आपको बताता है कि हमारी आंख कभी भी ‘फोटॉन की गिनती’ क्यों नहीं कर सकती, यहां तक कि मुश्किल से पता लगाने योग्य रोशनी में भी।
(ए) ५०० मीटर तरंग दैर्ध्य की रेडियो तरंगों का उत्सर्जन करने वाले १० kW शक्ति के एक मध्यम तरंग ट्रांसमीटर द्वारा प्रति सेकंड उत्सर्जित फोटॉनों की संख्या।
(बी) प्रति सेकंड हमारी आंख की पुतली में प्रवेश करने वाले फोटॉनों की संख्या सफेद प्रकाश की न्यूनतम तीव्रता के अनुरूप होती है जिसे हम मनुष्य देख सकते हैं (~ 10 _1 ° W m -2 )। पुतली का क्षेत्रफल लगभग 0.4 सेमी 2 लें , और श्वेत प्रकाश की औसत आवृत्ति लगभग 6 x 10 14
उत्तर:


यह काफी छोटी संख्या है, लेकिन फिर भी गिनने के लिए पर्याप्त बड़ी है।
मामलों की तुलना (ए) और (बी) हमें बताती है कि हमारी आंखें व्यक्तिगत रूप से फोटॉन की संख्या की गणना नहीं कर सकती हैं।
प्रश्न 26.
पारा स्रोत से 2271 A तरंगदैर्घ्य का पराबैंगनी प्रकाश मोलिब्डेनम धातु से बने एक फोटो-सेल को विकिरणित करता है। यदि रोक विभव -1.3 V है, तो धातु के कार्य फलन का अनुमान लगाएँ। हे-ने लेजर द्वारा उत्पन्न तरंगदैर्घ्य 6328 A कीउच्च तीव्रता
(~ 10sWm-2) लाल प्रकाश के प्रति प्रकाश-कोशिका किस प्रकार अनुक्रिया करेगी?
[सीबीएसई २००५, यूसी, १३]
उत्तर:

चूंकि लाल फोटॉन की ऊर्जा धातु के कार्य फलन से कम होती है, इसलिए फोटोकेल लाल बत्ती पर प्रतिक्रिया नहीं करता है।
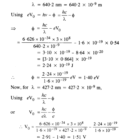
प्रश्न 27. नियॉन लैम्प से
640.2 nm (1 nm = 10-9m)तरंगदैर्घ्य का मोनोक्रोमैटिक विकिरणसीज़ियम या टंगस्टन से बने प्रकाश संवेदी पदार्थ को विकिरणित करता है। स्टॉपिंग वोल्टेज को 0.54 V मापा जाता है। स्रोत को लोहे के स्रोत से बदल दिया जाता है और इसकी 427.2 एनएम लाइन उसी फोटो-सेल को विकिरणित करती है। नए रोक वोल्टेज की भविष्यवाणी करें।
उत्तर:

प्रश्न 28.
प्रकाश विद्युत उत्सर्जन की आवृत्ति निर्भरता का अध्ययन करने के लिए एक पारा लैंप एक सुविधाजनक स्रोत है क्योंकि यह यूवी से लेकर दृश्यमान स्पेक्ट्रम के लाल छोर तक की कई वर्णक्रमीय रेखाएं देता है। Rubidium तस्वीर सेल के साथ हमारे प्रयोग में, एक पारा स्रोत से निम्नलिखित लाइनों का इस्तेमाल किया गया:
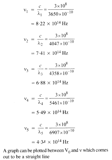
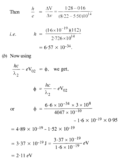
λएक्स= 3650 Å, λ2= 4047 Å, λ3= 4358 Å, λ4= 5461 Å, λ5= 6907 a।
स्टॉपिंग वोल्टेज, क्रमशः मापा गया:
वी01= 1.28 वी, वी02= 0.95 वी, एफ03= 0.74 वी, = 0.16 वी, वी05= 0 वी
(ए) प्लैंक के स्थिरांक का मान निर्धारित करें
(बी) सामग्री के लिए दहलीज आवृत्ति और कार्य समारोह का अनुमान लगाएं।
उत्तर:
(ए) आइंस्टीन फोटोइलेक्ट्रिक समीकरण से,




प्रश्न 29।
निम्नलिखित धातुओं के लिए कार्य फलन दिया गया है: Na: 2.75 eV; कश्मीर: 2.30 ईवी; मो: 417 ईवी; नी: 515 ईवी। इनमें से कौन सी धातु फोटोकेल से 1 मीटर दूर रखे गए He-Cd लेजर से 3300 तरंग दैर्ध्य के विकिरण के लिए फोटोइलेक्ट्रिक उत्सर्जन नहीं देगी? क्या होता है यदि लेज़र को पास लाया जाए और 50 सेमी दूर रखा जाए? (सीबीएसई 2009)
उत्तर:
यहाँ, = ३३०० ए = ३३०० x १० १० मीटर
दूरी, r’ = 1 मीटर और r’ = ५० सेमी = ०.५ मीटर
संबंध का उपयोग करना

चूँकि आपतित प्रकाश की ऊर्जा E, Mo और Ni धातुओं के कार्य फलन से कम है, इसलिए Mo और Ni में प्रकाश-विद्युत उत्सर्जन नहीं होगा। स्रोत की दूरी प्रकाश घटना के फोटॉन की ऊर्जा को बढ़ाती या घटाती नहीं है, इसलिए, उत्सर्जित इलेक्ट्रॉनों की ऊर्जा नहीं बदलेगी, लेकिन निकाले गए इलेक्ट्रॉनों की तीव्रता बढ़ जाएगी (1 α 1/r 2 ) और चार गुना हो जाएगी .
प्रश्न 30.
तीव्रता का प्रकाश 10-5W m-2सतह क्षेत्र 2 सेमी2 केसोडियम फोटोकेल पर पड़ता है। यह मानते हुए कि सोडियम की शीर्ष 5 परतें आपतित ऊर्जा को अवशोषित करती हैं, विकिरण की तरंग-चित्र में प्रकाश-विद्युत उत्सर्जन के लिए आवश्यक समय का अनुमान लगाएं। धातु के लिए कार्य फलन लगभग 2 eV दिया गया है। आपके उत्तर का क्या अर्थ है?
उत्तर:
A = 2 सेमी2= 2 x 10-4मीटर2
φ = 2eV = 2 x 1.6 x 10-19J
= 3.2 X 10-19 J।
एक परमाणु की अनुमानित त्रिज्या 10-10मीटर केरूप में लेना। सोडियम परमाणु का प्रभावी क्षेत्र है r2= 10 -20 मीटर।
.’. यदि प्रति परमाणु एक मुक्त इलेक्ट्रॉन है, तो पांच परतों में इलेक्ट्रॉनों की संख्या


प्राप्त उत्तर का तात्पर्य है कि इलेक्ट्रॉन के उत्सर्जन का समय बहुत बड़ा है और उत्सर्जन के देखे गए समय के अनुरूप नहीं है, जो लगभग 10 9 एस है। . इस प्रकार विकिरण की तरंग-चित्र फोटो-विद्युत उत्सर्जन के लिए लागू नहीं होती है।
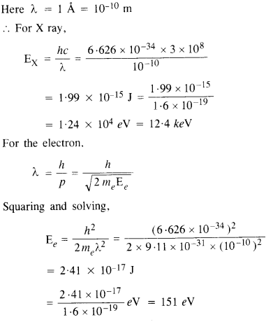
प्रश्न 31.
क्रिस्टल विवर्तन प्रयोग एक्स-रे या उपयुक्त वोल्टेज के माध्यम से त्वरित इलेक्ट्रॉनों का उपयोग करके किया जा सकता है। किस जांच में अधिक ऊर्जा होती है? (मात्रात्मक तुलना के लिए, जांच की तरंग दैर्ध्य को 1 के बराबर लें जो कि जाली में अंतर-परमाणु रिक्ति के क्रम का है) (me= ९.११ x१०-३१ किग्रा)।
उत्तर:

स्पष्ट रूप से, फोटॉन की ऊर्जा इलेक्ट्रॉनों की ऊर्जा से बहुत अधिक होती है।
प्रश्न 32.
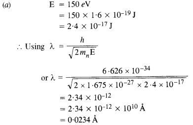
(a) 150 eV गतिज ऊर्जा वाले न्यूट्रॉन की डी ब्रोग्ली तरंगदैर्घ्य ज्ञात कीजिए। जैसा कि आपने अभ्यास 44 में देखा है, इस ऊर्जा का एक इलेक्ट्रॉन पुंज क्रिस्टल विवर्तन प्रयोगों के लिए उपयुक्त है। क्या समान ऊर्जा का न्यूट्रॉन बीम समान रूप से उपयुक्त होगा?
समझाना। (एमएन= १.६७५ x१०-२७किलो)।
(बी) कमरे के तापमान (27 डिग्री सेल्सियस) पर थर्मल न्यूट्रॉन से जुड़े डी ब्रोगली तरंगदैर्ध्य प्राप्त करें। इसलिए समझाएं कि न्यूट्रॉन विवर्तन प्रयोगों के लिए उपयोग किए जाने से पहले एक तेज न्यूट्रॉन बीम को पर्यावरण के साथ गर्म करने की आवश्यकता क्यों है।
उत्तर:

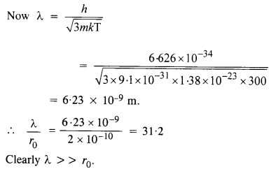
यह तरंगदैर्घ्य क्रिस्टल के अंतर-परमाणु पृथक्करण से लगभग सौ गुना छोटा है। इस प्रकार, क्रिस्टल के मामले में न्यूट्रॉन विवर्तन प्रयोगों के लिए उपयुक्त नहीं हैं।

यह तरंग दैर्ध्य क्रिस्टल के अंतर-परमाणु रिक्ति के बराबर है। इसलिए, थर्मल इलेक्ट्रॉन क्रिस्टल के साथ बातचीत करने में सक्षम होते हैं। के बाद से

तापमान में वृद्धि, उनके डी Broglie तरंग दैर्ध्य कम हो जाती है और वे क्रिस्टल विवर्तन के लिए अनुपयुक्त हो जाते हैं। इस प्रकार, न्यूट्रॉन के तेज बीम को न्यूट्रॉन विवर्तन प्रयोग के लिए पर्यावरण के साथ ऊष्मीकृत करने की आवश्यकता होती है।
Question 33.
एक इलेक्ट्रॉन माइक्रोस्कोप 50 kV के वोल्टेज द्वारा त्वरित इलेक्ट्रॉनों का उपयोग करता है। इलेक्ट्रॉनों से जुड़े डी ब्रोगली तरंग दैर्ध्य का निर्धारण करें। यदि अन्य कारकों (जैसे संख्यात्मक एपर्चर, आदि) को मोटे तौर पर समान माना जाता है, तो इलेक्ट्रॉन माइक्रोस्कोप की संकल्प शक्ति की तुलना ऑप्टिकल माइक्रोस्कोप की तुलना में कैसे की जाती है जो पीली
रोशनीका उपयोग करता है?
उत्तर:


प्रश्न 34.
एक जांच की तरंग दैर्ध्य मोटे तौर पर एक संरचना के आकार का एक माप है जिसे वह कुछ विस्तार से जांच सकता है। प्रोटॉन और न्यूट्रॉन की क्वार्क संरचना 10-15. के मिनट लंबाई-पैमाने पर दिखाई देती हैमी या उससे कम। इस संरचना की पहली बार 1970 के दशक की शुरुआत में स्टैनफोर्ड, यूएसए में एक रैखिक त्वरक द्वारा उत्पादित उच्च-ऊर्जा इलेक्ट्रॉन बीम का उपयोग करके जांच की गई थी। अंदाजा लगाइए कि इन इलेक्ट्रॉन पुंजों की ऊर्जा का क्रम क्या रहा होगा। (इलेक्ट्रॉन की शेष द्रव्यमान ऊर्जा = 0.511 MeV)।
उत्तर:

इस प्रकार, रैखिक त्वरक से बाहर निकले प्रोटॉन की ऊर्जा BeV कोटि की होती है।
प्रश्न 35.
कमरे के तापमान (27 डिग्री सेल्सियस) और 1 एटीएम दबाव पर हीलियम गैस में हे परमाणु से जुड़ी विशिष्ट डी ब्रोगली तरंग दैर्ध्य का पता लगाएं, और इन परिस्थितियों में दो परमाणुओं के बीच औसत अलगाव के साथ इसकी तुलना करें।
उत्तर:
यहाँ T = 27 °C = 27 + 273 = 300 K
P = 1 atm = 1.01 x 105Nm-2
इसके अलावा, हीलियम परमाणु का द्रव्यमान,

प्रश्न 36.
धातु में एक इलेक्ट्रॉन के विशिष्ट डी ब्रोग्ली तरंग दैर्ध्य की गणना करें 27°C और इसकी तुलना एक धातु में दो इलेक्ट्रॉनों के बीच माध्य पृथक्करण से करें जो लगभग 2 x 10_10 m दिया गया है।
उत्तर:
यहाँ, T = 27°C = 27 + 273 = 300 K

प्रश्न 37. निम्नलिखित प्रश्नों के उत्तर दीजिए
:
(ए) प्रोटॉन और न्यूट्रॉन के अंदर क्वार्क को भिन्नात्मक चार्ज करने के लिए माना जाता है [(+2/3) ई; (- एल/3)ई]। वे *मिलिकन के तेल-बूंद प्रयोग में क्यों नहीं दिखाई देते?
(बी) संयोजन एल्म के बारे में इतना खास क्या है? हम केवल ई और एम की अलग-अलग बात क्यों नहीं करते?
(c) गैसों को सामान्य दाब पर कुचालक क्यों होना चाहिए और बहुत कम दाब पर चालन करना शुरू कर देना चाहिए?
(d) प्रत्येक धातु का एक निश्चित कार्य फलन होता है। यदि आपतित विकिरण एकवर्णी है तो सभी फोटोइलेक्ट्रॉन समान ऊर्जा के साथ क्यों नहीं निकलते हैं? फोटोइलेक्ट्रॉनों का ऊर्जा वितरण क्यों होता है?
(ई) एक इलेक्ट्रॉन की ऊर्जा और गति संबंधों द्वारा संबंधित पदार्थ तरंग की आवृत्ति और तरंग दैर्ध्य से संबंधित होती है:
![]()
उत्तर:
(ए)मिलिकन ऑयल-ड्रॉप प्रयोग के मामले में, इलेक्ट्रॉन पर चार्ज मापा जाता है। इलेक्ट्रॉन नाभिक के बाहर घूमता है और प्रत्येक पर आवेश e होता है। इस प्रकार, हम भिन्नात्मक आवेशों का निरीक्षण नहीं करते हैं

(c) साधारण दबाव पर, गैस के अणु आपस में टकराते रहते हैं और बनने वाले आयनों को उनके पुनर्संयोजन के कारण संबंधित इलेक्ट्रोड तक पहुँचने का मौका नहीं मिलता है। कम दबाव पर, हालांकि, आयन बार-बार नहीं टकराते हैं और करंट बनाने के लिए संबंधित इलेक्ट्रोड तक पहुंचने में सक्षम होते हैं।
(डी)कार्य फलन वास्तव में एक उत्सर्जक के चालन बैंड के उच्चतम भरे स्तर से इलेक्ट्रॉन को बाहर निकालने के लिए आवश्यक ऊर्जा है। चालन बैंड में विभिन्न ऊर्जा स्तर होते हैं जो सामूहिक रूप से स्तरों का एक सतत बैंड बनाते हैं। इसलिए, इलेक्ट्रॉनों को विभिन्न स्तरों से बाहर लाने के लिए अलग-अलग मात्रा में ऊर्जा की आवश्यकता होती है। उत्सर्जित इलेक्ट्रॉनों में उत्सर्जक को आपूर्ति की गई ऊर्जा के अनुसार अलग-अलग गतिज ऊर्जा होती है।
(ई) चूंकि किसी दिए गए पदार्थ-तरंग के लिए आवृत्ति पदार्थ की विभिन्न परतों के लिए स्थिर रहती है लेकिन तरंगदैर्ध्य बदलता है इसलिए एक्स वी से अधिक महत्वपूर्ण है।
इसी प्रकार ऊर्जा ई = एचवी =12m(λv) 2 किसी दिए गए पदार्थ तरंग के लिए भी स्थिर है इसलिए चरण λv भी शारीरिक रूप से महत्वपूर्ण नहीं है।
हम उम्मीद करते हैं कि एनसीईआरटी सोलूशन्स क्लास 12 भौतिकी चैप्टर 11 विकिरण और पदार्थ की दोहरी प्रकृति आपके लिए मददगार साबित होंगे। यदि आपके पास एनसीईआरटी सोलूशन्स क्लास 12 भौतिकी चैप्टर 11 विकिरण और पदार्थ की दोहरी प्रकृति के बारे में कोई प्रश्न हैं, तो नीचे टिप्पणी करें और हम आपसे जल्द से जल्द संपर्क करेंगे।
