Library

Open Source Online Library

Library

Open Source Online Library

एनसीईआरटी सॉल्यूशंस फॉर क्लास 12 फिजिक्स चैप्टर 10 वेव ऑप्टिक्स

एनसीईआरटी सॉल्यूशंस फॉर क्लास 12 फिजिक्स चैप्टर 10 वेव ऑप्टिक्स एनसीईआरटी सॉल्यूशंस फॉर क्लास 12 फिजिक्स का हिस्सा हैं । यहां हमने दिया है। NCERT Solutions for Class 12 Physics Chapter 10 वेव ऑप्टिक्स

NCERT Solutions for Class 12 Physics Chapter 10 Wave Optics

तख़्ता सीबीएसई
पाठयपुस्तक NCERT
कक्षा कक्षा 12
विषय भौतिक विज्ञान
अध्याय अध्याय 10
अध्याय का नाम वेव ऑप्टिक्स
हल किए गए प्रश्नों की संख्या 21
श्रेणी NCERT Solutions

प्रश्न 1.
589 nm तरंगदैर्घ्य का एकवर्णी प्रकाश जल की सतह पर वायु से आपतित होता है।
(ए) परावर्तित, और
(बी) अपवर्तित प्रकाशकी तरंग दैर्ध्य, आवृत्ति और गति क्या हैं? जल का अपवर्तनांक 1.33 होता है। (सीबीएसई नमूना पेपर 1991)
उत्तर:
(ए)परावर्तित प्रकाश तरंग दैर्ध्य अपरिवर्तित है यानी
एक्स = 589 x 10-9मीटर = 589 एनएम
इसके अलावा, हवा में प्रकाश की गति सी = 3 x 108एमएस-1
NCERT Solutions for Class 12 Physics Chapter 10 वेव ऑप्टिक्स 1
प्रश्न 2.
क्या है निम्नलिखित मामलों में से प्रत्येक में तरंगाग्र का आकार:
(ए) एक बिंदु स्रोत से प्रकाश का विचलन।
(बी) जब एक बिंदु स्रोत को अपने फोकस पर रखा जाता है तो उत्तल लेंस से निकलने वाला प्रकाश।
(c) दूर के तारे से प्रकाश के तरंगाग्र का वह भाग जो पृथ्वी द्वारा अवरोधित होता है।
उत्तर:
(a) गोलाकार आकृति
(b) समतल तरंगाग्र
(c) समतल तरंगाग्र

प्रश्न 3.
(a) काँच का अपवर्तनांक 1.5 है। कांच में प्रकाश की गति कितनी होती है? (निर्वात में प्रकाश की गति 3.0 x 108ms-1 है)
(b) क्या कांच में प्रकाश की गति प्रकाश के रंग से स्वतंत्र है? यदि नहीं, तो कांच के प्रिज्म में लाल और बैंगनी दो रंगों में से कौन धीमी गति से यात्रा करता है?
उत्तर:
(ए)
यहाँ, n=105,c=3.0 x 108 ms-1
एनसीईआरटी समाधान कक्षा 12 भौतिकी अध्याय 10 तरंग प्रकाशिकी 2
कांच से गुजरते समय प्रकाश की गति प्रकाश के रंग पर निर्भर करती है। λआर> λυ , इसलिए बैंगनी प्रकाश की गति लाल बत्ती से कम है।

प्रश्न 4.
यंग के डबल-स्लिट प्रयोग में, स्लिट्स को 0.28 मिमी से अलग किया जाता है और स्क्रीन को 1.4 मीटर दूर रखा जाता है। केन्द्रीय दीप्त फ्रिंज और चौथे दीप्त फ्रिंज के बीच की दूरी 1.2 मापी जाती है प्रयोग में प्रयुक्त प्रकाश की तरंगदैर्घ्य ज्ञात कीजिए।
उत्तर:
NCERT Solutions for Class 12 Physics Chapter 10 वेव ऑप्टिक्स 3

प्रश्न 5.
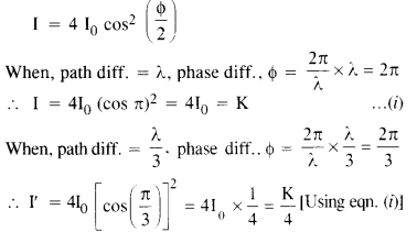
यंग के द्विझिरी प्रयोग में तरंगदैर्घ्य के एकवर्णी प्रकाश का प्रयोग करतेहुए, परदे के उस बिंदु पर प्रकाश की तीव्रता,जहां पथ अंतर λ है, K इकाई है। उस बिंदु पर प्रकाश की तीव्रता क्या है जहां पथ अंतर /2 है? उत्तर:

NCERT Solutions for Class 12 Physics Chapter 10 वेव ऑप्टिक्स 4

प्रश्न 6.
दो तरंगदैर्घ्य 650 nm और 520 nm वाले प्रकाश पुंज का उपयोग यंग के द्विझिरी प्रयोग में व्यतिकरण फ्रिंज प्राप्त करने के लिए किया जाता है।
(ए) तरंग दैर्ध्य 650 एनएम के लिए केंद्रीय अधिकतम से स्क्रीन पर तीसरे उज्ज्वल फ्रिंज की दूरी पाएं।
(बी) केंद्रीय अधिकतम से कम से कम दूरी क्या है जहां दोनों तरंग दैर्ध्य के कारण उज्ज्वल फ्रिंज मिलते हैं?
दो झिरियों के बीच की दूरी 2 मिमी है और झिरियों के तल और स्क्रीन के बीच की दूरी 1.2 मीटर है।
उत्तर:
(क)λ = 650 एनएम = 650 x 10-9मीटर,
d = 2 मिमी = 2 x 10-3मीटर,
डी = 1.2 मीटर
केंद्रीय अधिकतम से महीना उज्ज्वल हाशिये की दूरी द्वारा दिया जाता है
NCERT Solutions for Class 12 Physics Chapter 10 वेव ऑप्टिक्स 5

प्रश्न 7.
द्वि-झिरी प्रयोग में, एक फ्रिंज की कोणीय चौड़ाई 1 मीटर दूर रखे परदे पर 0.2° पाई जाती है। प्रयुक्त प्रकाश की तरंग दैर्ध्य 600 एनएम है। यदि पूरे प्रयोग उपकरण को पानी में डुबो दिया जाए तो फ्रिंज की कोणीय चौड़ाई क्या होगी?
पानी का अपवर्तनांक लें43
उत्तर:
NCERT Solutions for Class 12 Physics Chapter 10 वेव ऑप्टिक्स 6

प्रश्न 8.

हवा से कांच के संक्रमण के लिए ब्रूस्टर कोण क्या है? (कांच का अपवर्तनांक = 1.5.)
उत्तर:
μ = 1.5
ब्रूस्टर के नियम के अनुसार,
µ = tan p
tan p = 1.5
⇒ p = 56.31º

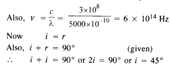
प्रश्न 9.
तरंगदैर्घ्य 5000 A का प्रकाश एक समतल परावर्तक पृष्ठ पर पड़ता है। परावर्तित प्रकाश की तरंग दैर्ध्य और आवृत्ति क्या हैं? परावर्तित किरण आपतित किरण के लिए अभिलंब किस आपतन कोण के लिए है?
उत्तर:
यहाँ X = 5000 A = 5000 X 10-10मीटर,
c = 3 x 108ms-1
परावर्तित प्रकाश की तरंग लंबाई
= आपतित प्रकाश की तरंग दैर्ध्य = 5000
NCERT Solutions for Class 12 Physics Chapter 10 वेव ऑप्टिक्स 7

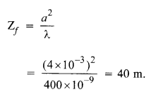
प्रश्न 10.

उस दूरी का अनुमान लगाएं जिसके लिए किरण प्रकाशिकी अच्छा सन्निकटन है
4 मिमी केएपर्चरऔर 400 एनएम तरंग दैर्ध्य के लिए।
उत्तर:
यहाँ X = ४०० एनएम = ४०० x १०-9मीटर, एपर्चर, a = ४ मिमी = ४ x १०-3मीटर
.’. वह दूरी जिसके लिए किरण प्रकाशिकी एक अच्छा सन्निकटन है, फ्रेस्नेल की दूरी है
NCERT Solutions for Class 12 Physics Chapter 10 वेव ऑप्टिक्स 8

प्रश्न 11.

एक तारे में हाइड्रोजन द्वारा उत्सर्जित 6563 Hα रेखा 15Å से लाल-स्थानांतरित पाई जाती है। उस गति का अनुमान लगाएं जिसके साथ तारा पृथ्वी से पीछे हट रहा है।
उत्तर:
NCERT Solutions for Class 12 Physics Chapter 10 वेव ऑप्टिक्स 9

ऋणात्मक चिन्ह दर्शाता है कि तारा पृथ्वी से दूर जा रहा है।

प्रश्न 12.
स्पष्ट कीजिए कि किस प्रकार कणिका सिद्धांत एक माध्यम, जैसे पानी में प्रकाश की गति, निर्वात में प्रकाश की गति से अधिक होने की भविष्यवाणी करता है। क्या पानी में प्रकाश की गति के प्रायोगिक निर्धारण द्वारा भविष्यवाणी की पुष्टि की जाती है? यदि नहीं, तो प्रकाश का कौन सा वैकल्पिक चित्र प्रयोग के अनुरूप है?
उत्तर:
कणिका सिद्धांत के अनुसार, जब प्रकाश कणों के रूप में विरल माध्यम से सघन माध्यम में प्रवेश करता है, तो सतह पर सामान्य कणों पर आकर्षण बल कार्य करता है। इस प्रकार, पानी की सतह के लिए सामान्य वेग का घटक बढ़ता है जबकि सतह के समानांतर वेग का घटक नहीं बदलता है। इसलिए,
NCERT Solutions for Class 12 Physics Chapter 10 वेव ऑप्टिक्स 10
जल में वेग वायु में प्रकाश के वेग से अधिक होता है। हालाँकि, वास्तविक स्थिति में, c > . ह्यूजेन का प्रकाश का तरंग सिद्धांत प्रयोग के अनुरूप है।

प्रश्न 13.
आपने पाठ में पढ़ा है कि कैसे हाइजेन्स का सिद्धांत परावर्तन और अपवर्तन के नियमों की ओर ले जाता है। उसी सिद्धांत का उपयोग करके सीधे यह निष्कर्ष निकालें कि समतल दर्पण के सामने रखी गई एक बिंदु वस्तु एक आभासी छवि उत्पन्न करती है जिसकी दर्पण से दूरी दर्पण से वस्तु की दूरी के बराबर होती है।
उत्तर:
मान लीजिए कि समतल दर्पण से y दूरी पर एक बिंदु वस्तु A है। इस बिंदु को प्रकाश का एक बिंदु स्रोत मानते हुए, हम त्रिज्या y के A से आगे बढ़ने वाले गोलाकार तरंगाग्रों को मान सकते हैं। मान लीजिए कि कोई दर्पण नहीं है तो समय t के बाद, तरंगाग्र A’ पर तरंगाग्र I के रूप में पहुंचेगा। यदि एक दर्पण को चित्र में दिखाए अनुसार रखा जाता है तो छवि A’ पर बनी होगी जिसे II द्वारा दर्शाया जाएगा।
NCERT Solutions for Class 12 Physics Chapter 10 वेव ऑप्टिक्स 11
यह देखा गया है कि OA’ = OA अर्थात आभासी प्रतिबिम्ब दर्पण से वस्तु की दूरी के बराबर दूरी पर बनता है।

प्रश्न 14.
आइए कुछ कारकों को सूचीबद्ध करें, जो संभवतः तरंग प्रसार की गति को प्रभावित कर सकते हैं:
(1) स्रोत की प्रकृति,
(2) प्रसार की दिशा।
(३) स्रोत और/या पर्यवेक्षक की गति।
(4) तरंगदैर्घ्य
(5) तरंग कीतीव्रता।
इनमें से कौन सा कारक, यदि कोई हो, निर्भर करता है:
(ए) निर्वात में प्रकाश की गति,
(बी) एक माध्यम में प्रकाश की गति (जैसे, कांच या पानी), निर्भर करता है?
उत्तर:
(ए)निर्वात में प्रकाश की गति एक पूर्ण स्थिरांक (सार्वभौमिक स्थिरांक) है। यह किसी भी कारक से स्वतंत्र है। यह स्रोत और प्रेक्षक के बीच सापेक्ष गति से भी स्वतंत्र है।
(बी)

  1. किसी माध्यम में प्रकाश की चाल तरंगदैर्घ्य पर निर्भर करती है।
  2. यह स्रोत की प्रकृति और माध्यम के सापेक्ष स्रोत की गति से स्वतंत्र है।
  3. यह प्रसार के माध्यम के गुणों और माध्यम के सापेक्ष प्रेक्षक की गति पर निर्भर करता है,
  4. यह आइसोट्रोपिक माध्यम के लिए प्रसार की दिशा से स्वतंत्र है,
  5. यह लहर की तीव्रता से स्वतंत्र है।

प्रश्न 15.
ध्वनि तरंगों के लिए, आवृत्ति परिवर्तन के लिए डॉप्लर सूत्र दो स्थितियों के बीच थोड़ा भिन्न होता है:
(1) एक स्रोत विरामावस्था में; पर्यवेक्षक चल रहा है, और
(2) स्रोत चल रहा है; आराम पर पर्यवेक्षक। हालांकि, निर्वात में प्रकाश तरंगों के मामले के लिए सटीक डॉपलर सूत्र इन स्थितियों के लिए कड़ाई से समान हैं। बताएं कि ऐसा क्यों होना चाहिए। क्या आप उम्मीद करते हैं कि किसी माध्यम में प्रकाश के यात्रा करने की स्थिति में दो स्थितियों के लिए सूत्र समान रूप से समान हों?
उत्तर:
ध्वनि को संचरण के लिए भौतिक माध्यम की आवश्यकता होती है। हालांकि स्थितियां
(१) और (२) एक ही सापेक्ष गति के अनुरूप हो सकते हैं, फिर भी वे भौतिक रूप से समान नहीं हैं क्योंकि माध्यम के सापेक्ष पर्यवेक्षक की गति दोनों स्थितियों में भिन्न हो सकती है। इसलिए, ध्वनि के लिए डॉप्लर प्रभाव दोनों स्थितियों में समान नहीं हो सकता है। भौतिक माध्यम से गुजरने पर प्रकाश भी विभिन्न डॉपलर सूत्रों द्वारा नियंत्रित होता है
(1) आराम के स्रोत के लिए; ऑब्जर्वर मूविंग और
(2) सोर्स मूविंग; आराम पर पर्यवेक्षक।
लेकिन जब प्रकाश निर्वात से होकर गुजरता है तो दो अलग-अलग स्थितियों के लिए सूत्र बिल्कुल समान हो जाते हैं क्योंकि प्रकाश की गति और प्रकाश की आवृत्ति/तरंग दैर्ध्य निर्वात में अपरिवर्तित रहते हैं।

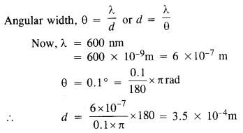
प्रश्न 16.
६०० एनएम तरंगदैर्घ्य के प्रकाश का प्रयोग करने वाले द्वि-झिरी प्रयोग में दूर के परदे पर बनने वाली फ्रिंज की कोणीय चौड़ाई 0.1° है। दो झिल्लियों के बीच की दूरी क्या है?
उत्तर:
NCERT Solutions for Class 12 Physics Chapter 10 वेव ऑप्टिक्स 12

प्रश्न 17.
निम्नलिखित प्रश्नों के उत्तर
दीजिए : (क)एकल-झिरी विवर्तन प्रयोग में झिरी की चौड़ाई मूल चौड़ाई से दोगुनी कर दी जाती है। यह केंद्रीय विवर्तन
बैंडके आकार और तीव्रता को कैसे प्रभावित करता है?
(b)द्वि-झिरी प्रयोग में प्रत्येक झिरी से विवर्तन किस प्रकार व्यतिकरण पैटर्न से संबंधित है? (सीबीएसई 2013, 2013)
(सी)
जब दूर के स्रोत से प्रकाश के मार्ग में एक छोटी गोलाकार बाधा रखी जाती है, तो बाधा की छाया के केंद्र में एक उज्ज्वल स्थान दिखाई देता है।
समझाओ क्यों? (सीबीएसई 2013)
(डी)
दो छात्रों को 10 मीटर ऊंचे कमरे में 7 मीटर विभाजन की दीवार से अलग किया जाता है। यदि प्रकाश और ध्वनि दोनों तरंगें बाधाओं के चारों ओर झुक सकती हैं, तो यह कैसे है कि छात्र आसानी से बातचीत करने के बावजूद एक-दूसरे को नहीं देख पा रहे हैं?   (सीबीएसई 1990)
(ई)
 रे ऑप्टिक्स इस धारणा पर आधारित है कि प्रकाश एक सीधी रेखा में यात्रा करता है। विवर्तन प्रभाव (जब प्रकाश छोटे छिद्रों/छिद्रों या छोटी बाधाओं के आसपास फैलता है) इस धारणा का खंडन करता है। फिर भी रे ऑप्टिक्स धारणा का उपयोग आमतौर पर ऑप्टिकल उपकरणों में स्थान और छवियों के कई अन्य गुणों को समझने में किया जाता है। औचित्य क्या है?   (सीबीएसई 1990)
उत्तर:
(ए) केंद्रीय मैक्सिमा की चौड़ाई = 2 λD/d ।
जब झिरी की चौड़ाई (d) दोगुनी कर दी जाती है, तो केंद्रीय विवर्तन मैक्सिमा की चौड़ाई घटकर आधी हो जाती है और प्रकाश तरंग के आयाम के दोगुना होने पर केंद्रीय बैंड की तीव्रता चार गुना बढ़ जाती है।
(बी) डबल-स्लिट प्रयोग में उत्पन्न फ्रिंजों की तीव्रता प्रत्येक स्लिट के कारण विवर्तन पैटर्न सुपरपोजिंग के कारण बदल जाती है।
(c)  प्रकाश तरंगें वृत्ताकार बाधा के किनारों पर विवर्तित होती हैं। ये विवर्तित तरंगें रचनात्मक रूप से हस्तक्षेप करती हैं और ज्यामितीय छाया के केंद्र में उज्ज्वल स्थान को जन्म देती हैं।
(डी) विवर्तन तब देखा जाता है जब तरंग की तरंग दैर्ध्य बाधा के आकार के क्रम में होती है। ध्वनि तरंग की तरंग दैर्ध्य (≈ 0.33 मीटर) प्रकाश तरंग (≈10 -7 .) से बड़ी होती हैमी) और दीवार के तुलनीय भी है, इसलिए ध्वनि तरंगों का विवर्तन होता है और इसलिए छात्र आसानी से बातचीत कर सकते हैं। दूसरी ओर, बाधा ई की तुलना में प्रकाश की तरंग दैर्ध्य बहुत कम है। 1 मीटर ऊँची दीवार जिससे प्रकाश तरंगों का विवर्तन नहीं होता।
(ई) ऑप्टिकल उपकरणों में, एपर्चर का आकार प्रकाश की तरंग दैर्ध्य की तुलना में बहुत बड़ा होता है। अतः प्रकाश का विवर्तन नगण्य होता है। इसलिए, यह धारणा कि प्रकाश सीधी रेखा में यात्रा कर सकता है, ऑप्टिकल उपकरणों में उपयोग किया जाता है।

प्रश्न 18.
दो पहाड़ियों की चोटी पर दो मीनारें 40 किमी की दूरी पर हैं। उन्हें मिलाने वाली रेखा टावरों के बीच आधे रास्ते में एक पहाड़ी से 50 मीटर ऊपर से गुजरती है। रेडियो तरंगों की सबसे लंबी तरंग दैर्ध्य क्या है, जिसे बिना प्रशंसनीय विवर्तन प्रभाव के टावरों के बीच भेजा जा सकता है?
उत्तर:
यदि ए और बी दो पहाड़ियां हैं और सी बीच में पहाड़ी चोटी है
NCERT Solutions for Class 12 Physics Chapter 10 वेव ऑप्टिक्स 13
प्रश्न 19.
तरंग दैर्ध्य 500 एनएम की प्रकाश की समानांतर किरण एक संकीर्ण स्लिट पर पड़ती है और परिणामी विवर्तन पैटर्न 1 मीटर दूर एक स्क्रीन पर देखा जाता है। यह देखा गया है कि पहला न्यूनतम स्क्रीन के केंद्र से 2-5 मिमी की दूरी पर है। झिरी की चौड़ाई ज्ञात कीजिए। (सीबीएसई 2013)
उत्तर:

NCERT Solutions for Class 12 Physics Chapter 10 वेव ऑप्टिक्स 14

प्रश्न 20.
निम्नलिखित प्रश्नों के उत्तर दें:
(ए) जब एक कम उड़ान वाला विमान ऊपर से गुजरता है, तो हम कभी-कभी अपनी TY स्क्रीन पर चित्र को थोड़ा हिलाते हुए देखते हैं। एक संभावित स्पष्टीकरण का सुझाव दें।
(बी) जैसा कि आपने पाठ में सीखा है, तरंग विस्थापन के रैखिक सुपरपोजिशन का सिद्धांत विवर्तन और हस्तक्षेप पैटर्न में वितरण को समझने के लिए बुनियादी है। इस सिद्धांत का औचित्य क्या है?
उत्तर:
(ए) जब एक कम उड़ान वाला विमान ऊपर से गुजरता है, तो विमान का धातु शरीर टीवी सिग्नल को दर्शाता है। विमान से परावर्तित संकेत और एंटीना द्वारा प्राप्त प्रत्यक्ष संकेत के हस्तक्षेप के कारण टीवी स्क्रीन पर चित्र का हल्का सा हिलना-डुलना होता है।
(बी) तरंग समीकरणों का रैखिक संयोजन भी एक तरंग समीकरण होता है। यह अध्यारोपण सिद्धांत का मूल आधार है।

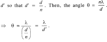
प्रश्न 21.
एकल झिरी विवर्तन पैटर्न की व्युत्पत्ति में, यह कहा गया था कि nλ/α के कोण पर तीव्रता शून्य है। रद्दीकरण निकालने के लिए झिरी को उपयुक्त रूप से विभाजित करके इसका औचित्य सिद्ध कीजिए।
उत्तर:
मान लीजिए कि हमारे पास प्रत्येक चौड़ाई के n स्लिट हैं
NCERT Solutions for Class 12 Physics Chapter 10 वेव ऑप्टिक्स 15
इसलिए, चौड़ाई d’ के प्रत्येक n स्लिट्स में से प्रत्येक दिशा 9 में शून्य तीव्रता भेजता है। परिणामस्वरूप, ऐसे n स्लिट्स के कारण तीव्रता का शुद्ध परिणाम शून्य होता है।

हम उम्मीद करते हैं कि हम उम्मीद करते हैं कि एनसीईआरटी सोलूशन्स क्लास 12 भौतिकी चैप्टर 10 तरंग प्रकाशिकी आपके लिए मददगार साबित होंगे। यदि आपके पास एनसीईआरटी सोलूशन्स क्लास 12 भौतिकी चैप्टर 10 वेव ऑप्टिक्स के बारे में कोई प्रश्न हैं, तो नीचे कमेंट करें और हम आपसे जल्द से जल्द संपर्क करेंगे।

एनसीईआरटी सॉल्यूशंस फॉर क्लास 12 फिजिक्स चैप्टर 10 वेव ऑप्टिक्स

Leave a Reply

Scroll to top